Официальное опубликование правовых актов
ОФИЦИАЛЬНОЕ ОПУБЛИКОВАНИЕ
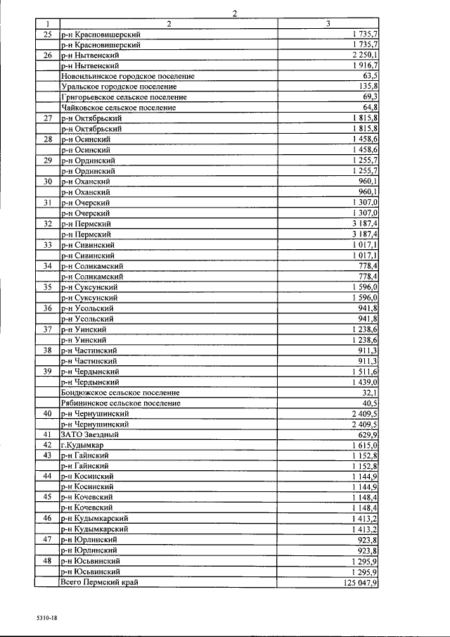
Закон Пермского края от 24.09.2018 № 267-ПК
"О внесении изменений в Закон Пермского края "О бюджете Пермского края на 2018 год и на плановый период 2019 и 2020 годов"
Номер опубликования: 5900201809250002
Дата опубликования: 25.09.2018
Страница №266 из 283:
Увеличить