Официальное опубликование правовых актов
ОФИЦИАЛЬНОЕ ОПУБЛИКОВАНИЕ
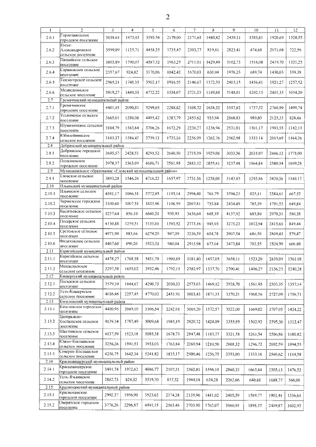
Постановление Правительства Пермского края от 04.07.2018 № 357-п
"Об утверждении региональных стандартов стоимости жилищно-коммунальных услуг на 2018 год"
Номер опубликования: 5900201807090027
Дата опубликования: 09.07.2018
Страница №14 из 64:
Увеличить