Официальное опубликование правовых актов
ОФИЦИАЛЬНОЕ ОПУБЛИКОВАНИЕ
Постановление Правительства Пермского края от 22.02.2018 № 88-п
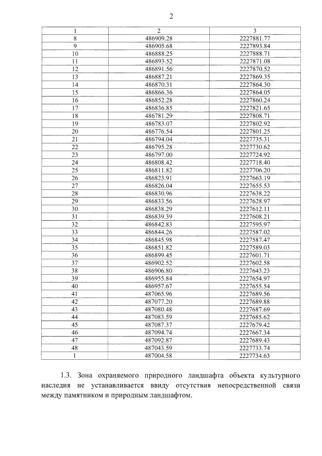
"Об утверждении границ зон охраны объекта культурного наследия регионального значения "Правление волостное", расположенного по адресу: Пермский край, Пермский район, п. Юг, ул. Ленина, д. 101, а также режимов использования земель и требований к градостроительным регламентам в границах данных зон"
Номер опубликования: 5900201802280005
Дата опубликования: 28.02.2018
Страница №3 из 6:
Увеличить