Официальное опубликование правовых актов
ОФИЦИАЛЬНОЕ ОПУБЛИКОВАНИЕ
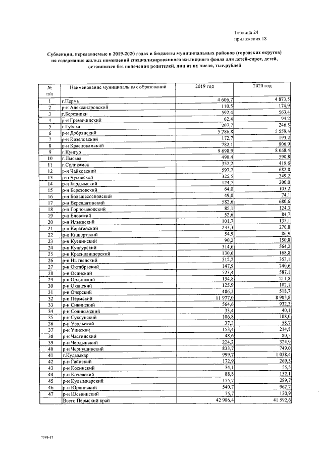
Закон Пермского края от 07.12.2017 № 152-ПК
"О бюджете Пермского края на 2018 год и на плановый период 2019 и 2020 годов"
Номер опубликования: 5900201712130001
Дата опубликования: 13.12.2017
Страница №419 из 457:
Увеличить