Официальное опубликование правовых актов
ОФИЦИАЛЬНОЕ ОПУБЛИКОВАНИЕ
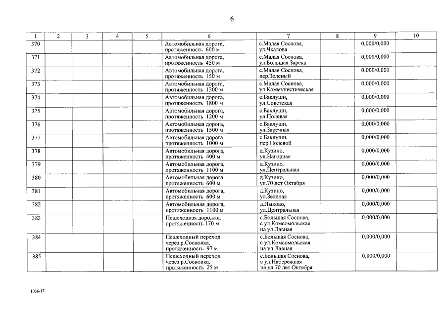
Закон Пермского края от 10.05.2017 № 92-ПК
"О внесении изменений в Закон Пермского края "О разграничении имущества, находящегося в муниципальной собственности Большесосновского муниципального района"
Номер опубликования: 5900201705120006
Дата опубликования: 12.05.2017
Страница №8 из 48:
Увеличить