Официальное опубликование правовых актов
ОФИЦИАЛЬНОЕ ОПУБЛИКОВАНИЕ
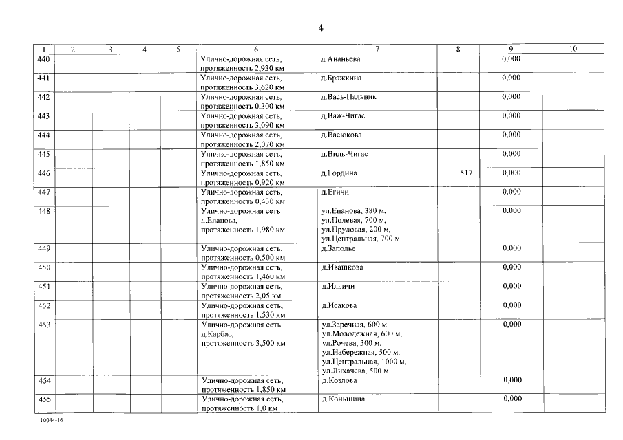
Закон Пермского края от 02.03.2017 № 65-ПК
"О внесении изменений в Закон Пермского края "О разграничении имущества, находящегося в муниципальной собственности Кудымкарского муниципального района"
Номер опубликования: 5900201703090003
Дата опубликования: 09.03.2017
Страница №6 из 71:
Увеличить