Официальное опубликование правовых актов
ОФИЦИАЛЬНОЕ ОПУБЛИКОВАНИЕ
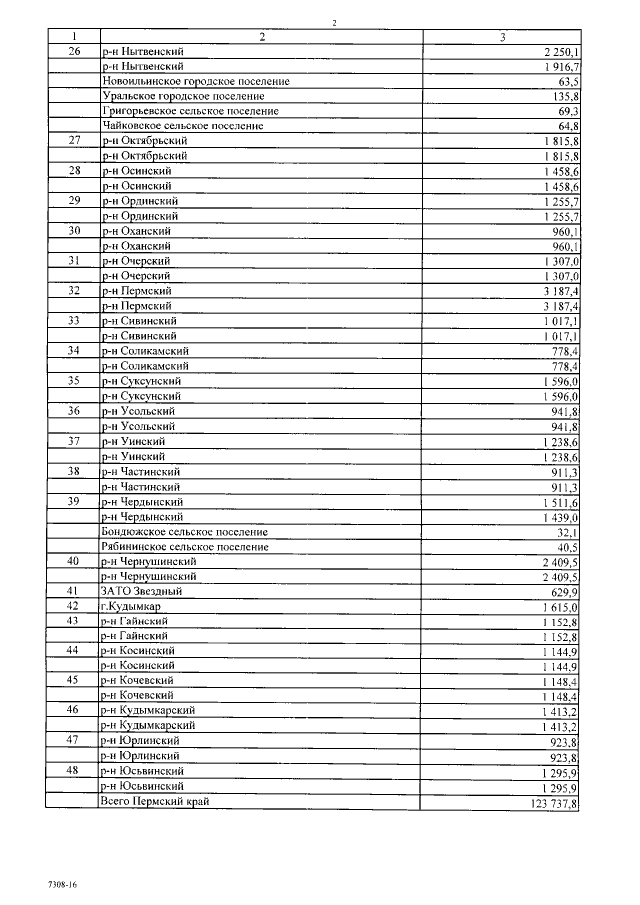
Закон Пермского края от 29.12.2016 № 34-ПК
"О бюджете Пермского края на 2017 год и на плановый период 2018 и 2019 годов"
Номер опубликования: 5900201701030001
Дата опубликования: 03.01.2017
Страница №445 из 559:
Увеличить