Официальное опубликование правовых актов
ОФИЦИАЛЬНОЕ ОПУБЛИКОВАНИЕ
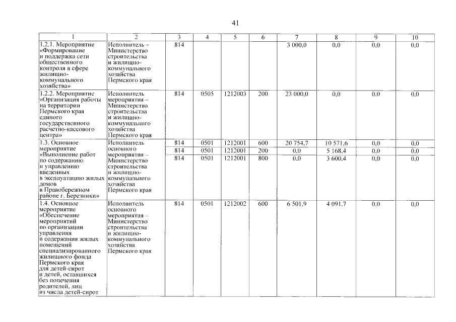
Постановление Правительства Пермского края от 25.12.2015 № 1150-п
"О внесении изменений в государственную программу "Обеспечение качественным жильем и услугами ЖКХ населения Пермского края", утвержденную постановлением Правительства Пермского края от 03 октября 2013 г. № 1331-п"
Номер опубликования: 5900201512280002
Дата опубликования: 28.12.2015
Страница №42 из 53:
Увеличить