Официальное опубликование правовых актов
ОФИЦИАЛЬНОЕ ОПУБЛИКОВАНИЕ
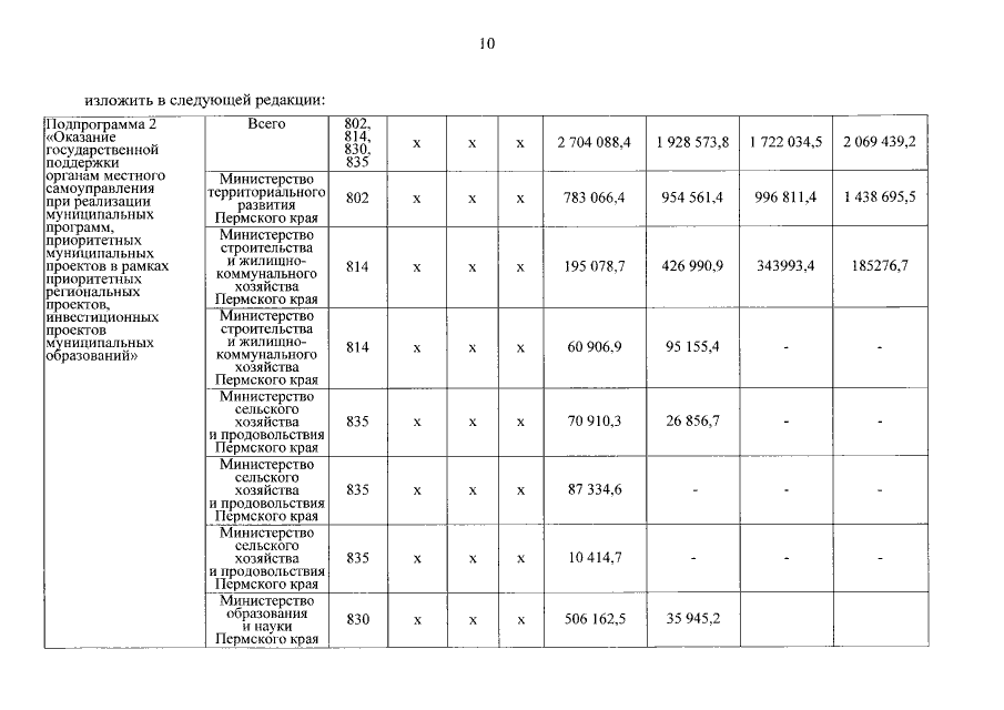
Постановление Правительства Пермского края от 25.12.2015 № 1147-п
"О внесении изменений в государственную программу Пермского края "Региональная политика и развитие территорий", утвержденную постановлением Правительства Пермского края от 01 октября 2013 г. № 1305-п"
Номер опубликования: 5900201512280001
Дата опубликования: 28.12.2015
Страница №11 из 24:
Увеличить