Официальное опубликование правовых актов
ОФИЦИАЛЬНОЕ ОПУБЛИКОВАНИЕ
Постановление Правительства Пермского края от 15.12.2015 № 1089-п
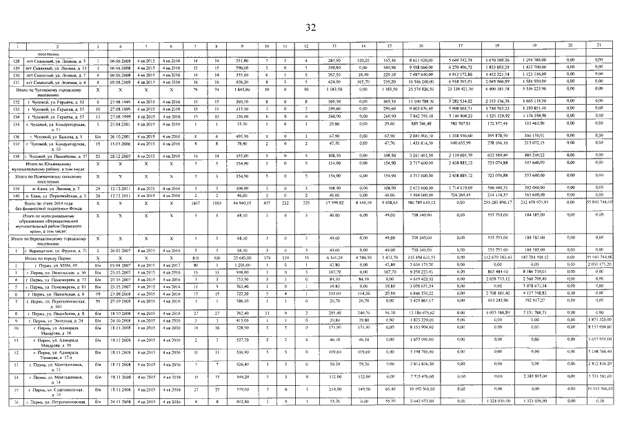
"О внесении изменений в региональную адресную программу по переселению граждан из аварийного жилищного фонда на территории Пермского края на 2013-2017 годы, утвержденную постановлением Правительства Пермского края от 29 мая 2013 г. № 579-п "Об утверждении региональной адресной программы по переселению граждан из аварийного жилищного фонда на территории Пермского края на 2013-2017 годы, объемов расходов по приоритетному региональному проекту "Достойное жилье" на 2013 год"
Номер опубликования: 5900201512170002
Дата опубликования: 17.12.2015
Страница №33 из 96:
Увеличить