Официальное опубликование правовых актов
ОФИЦИАЛЬНОЕ ОПУБЛИКОВАНИЕ
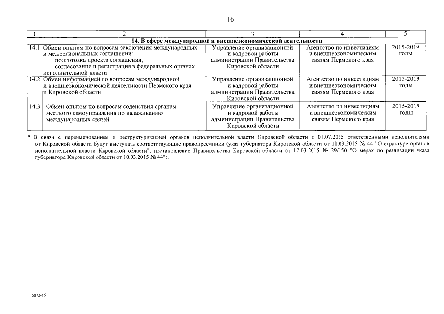
Закон Пермского края от 05.11.2015 № 564-ПК
"Об утверждении Соглашения между Пермским краем и Кировской областью о торгово-экономическом, научно-техническом, социальном и культурном сотрудничестве"
Номер опубликования: 5900201511090002
Дата опубликования: 09.11.2015
Страница №17 из 17:
Увеличить