Официальное опубликование правовых актов
ОФИЦИАЛЬНОЕ ОПУБЛИКОВАНИЕ
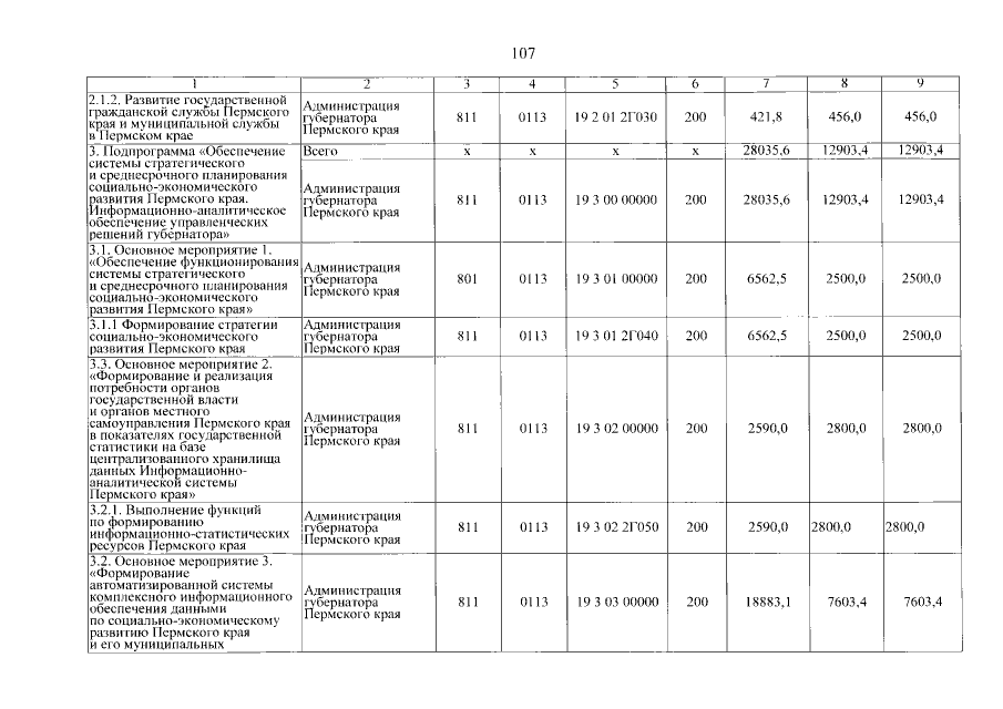
Постановление Правительства Пермского края от 25.09.2015 № 706-п
"О внесении изменения в государственную программу "Совершенствование государственного управления", утвержденную постановлением Правительства Пермского края от 3 октября 2013 г. № 1327-п"
Номер опубликования: 5900201510010017
Дата опубликования: 01.10.2015
Страница №108 из 109:
Увеличить