Официальное опубликование правовых актов
ОФИЦИАЛЬНОЕ ОПУБЛИКОВАНИЕ
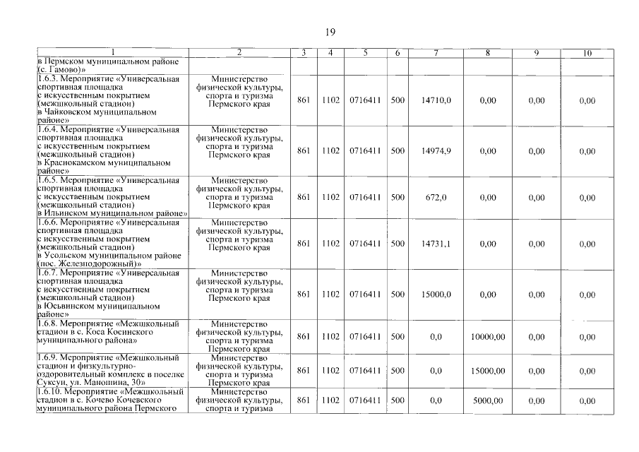
Постановление Правительства Пермского края от 24.09.2015 № 692-п
"О внесении изменений в постановление Правительства Пермского края от 3 октября 2013 г. № 1324-п "Об утверждении государственной программы "Развитие физической культуры и спорта"
Номер опубликования: 5900201509250024
Дата опубликования: 25.09.2015
Страница №20 из 35:
Увеличить