Официальное опубликование правовых актов
ОФИЦИАЛЬНОЕ ОПУБЛИКОВАНИЕ
Постановление Правительства Пермского края от 31.07.2015 № 493-п
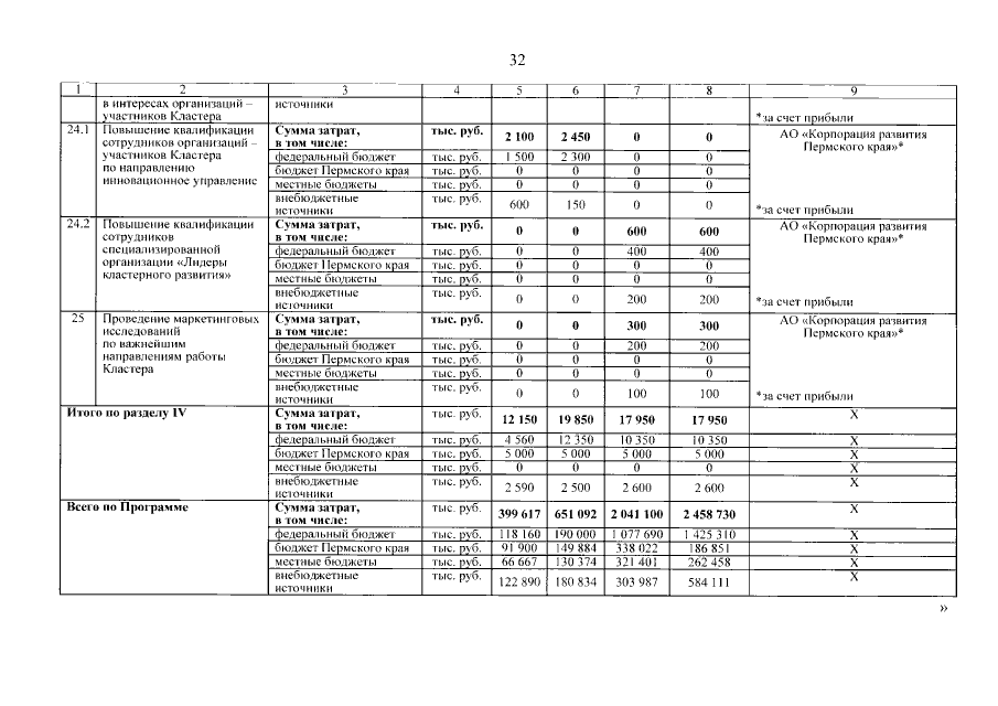
"О внесении изменений в постановление Правительства Пермского края от 15 сентября 2014 г. № 992-п "Об утверждении программы мероприятий по развитию инновационного территориального кластера ракетного двигателестроения "Технополис "Новый Звездный" на 2014-2016 годы"
Номер опубликования: 5900201508040001
Дата опубликования: 04.08.2015
Страница №33 из 36:
Увеличить