Официальное опубликование правовых актов
ОФИЦИАЛЬНОЕ ОПУБЛИКОВАНИЕ
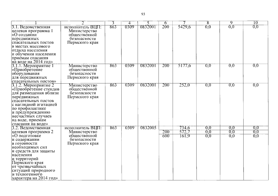
Постановление Правительства Пермского края от 24.04.2015 № 258-п
"О внесении изменений в государственную программу Пермского края "Обеспечение общественной безопасности Пермского края", утвержденную постановлением Правительства Пермского края от 3 октября 2013 г. № 1328-п"
Номер опубликования: 5900201504280009
Дата опубликования: 28.04.2015
Страница №94 из 118:
Увеличить