Официальное опубликование правовых актов
ОФИЦИАЛЬНОЕ ОПУБЛИКОВАНИЕ
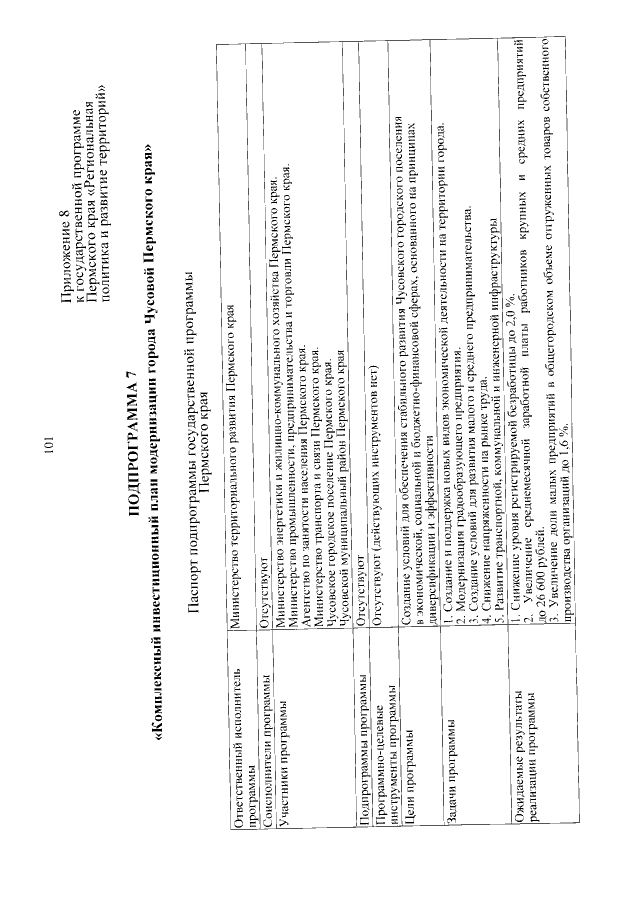
Постановление Правительства Пермского края от 10.04.2015 № 203-п
"О внесении изменений в государственную программу Пермского края "Региональная политика и развитие территорий", утвержденную постановлением Правительства Пермского края от 1 октября 2013 г. № 1305-п"
Номер опубликования: 5900201504150015
Дата опубликования: 15.04.2015
Страница №102 из 150:
Увеличить