Официальное опубликование правовых актов
ОФИЦИАЛЬНОЕ ОПУБЛИКОВАНИЕ
Постановление Правительства Пермского края от 02.02.2015 № 45-п
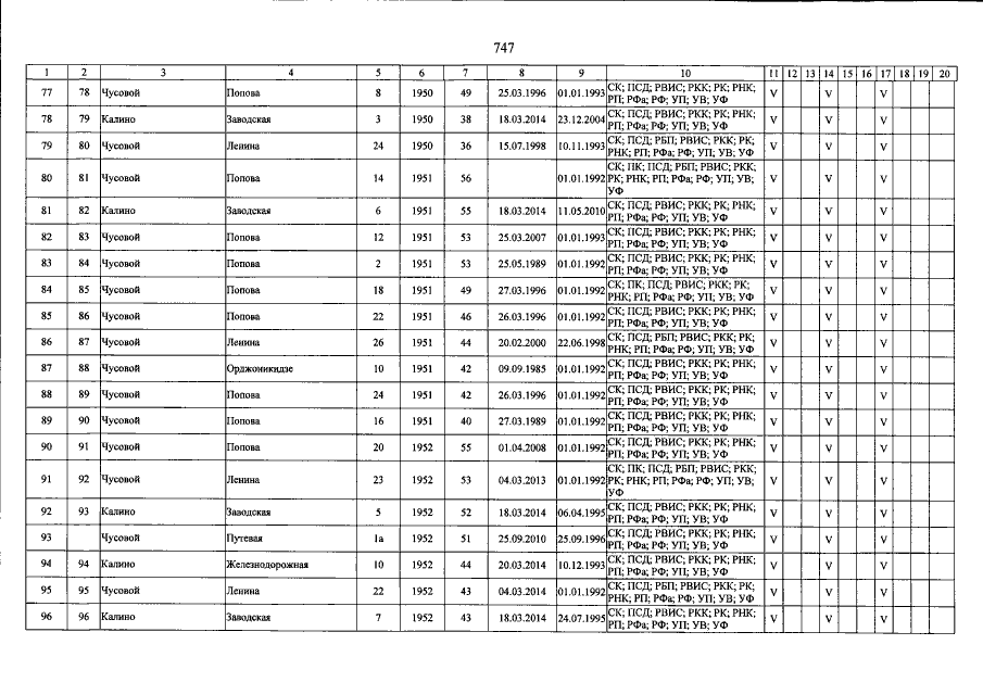
"О внесении изменения в приложение к региональной программе капитального ремонта общего имущества в многоквартирных домах, расположенных на территории Пермского края, на 2014-2044 годы, утвержденной постановлением Правительства Пермского края от 24 апреля 2014 г. № 288-п "Об утверждении региональной программы капитального ремонта общего имущества в многоквартирных домах, расположенных на территории Пермского края, на 2014-2044 годы и предельных стоимостей услуг и(или) работ по капитальному ремонту общего имущества в многоквартирных домах, которые могут оплачиваться региональным оператором за счет средств фонда капитального ремонта"
Номер опубликования: 5900201502040001
Дата опубликования: 04.02.2015
Страница №748 из 773:
Увеличить