Постановление Правительства Пермского края от 30.01.2015 № 39-п
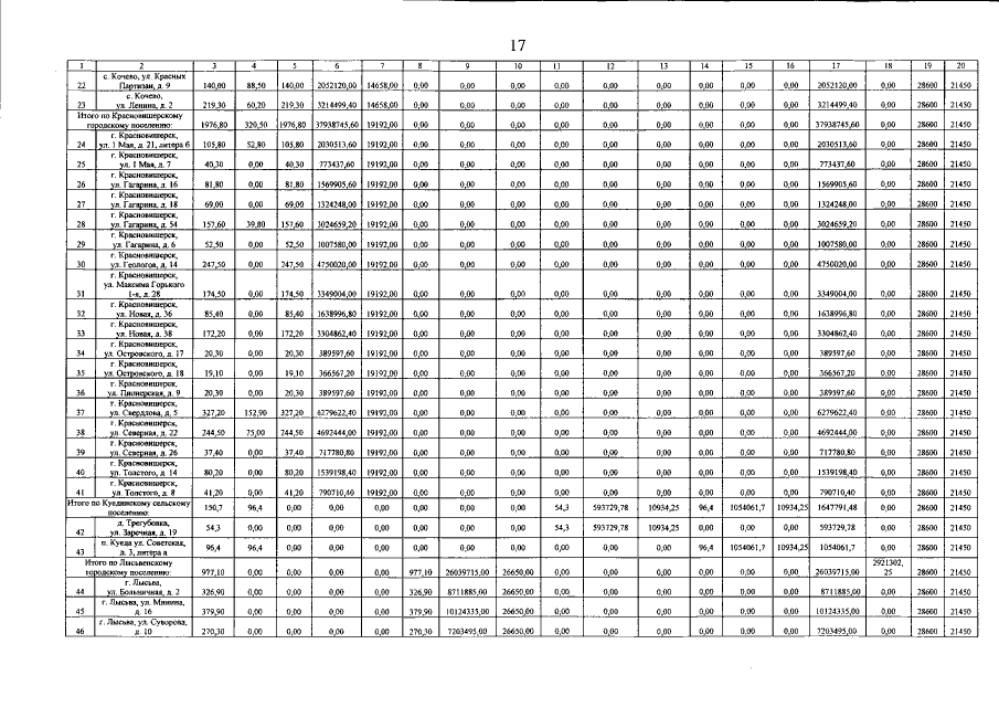
"О внесении изменений в постановление Правительства Пермского края от 27 июля 2011 г. № 499-п "Об утверждении региональной адресной программы № 1 по переселению граждан из аварийного жилищного фонда на территории Пермского края, объемов расходов по приоритетному региональному проекту "Достойное жилье" в 2011-2013 годах"
"О внесении изменений в постановление Правительства Пермского края от 27 июля 2011 г. № 499-п "Об утверждении региональной адресной программы № 1 по переселению граждан из аварийного жилищного фонда на территории Пермского края, объемов расходов по приоритетному региональному проекту "Достойное жилье" в 2011-2013 годах"
Номер опубликования: 5900201502030005
Дата опубликования:
03.02.2015
