Официальное опубликование правовых актов
ОФИЦИАЛЬНОЕ ОПУБЛИКОВАНИЕ
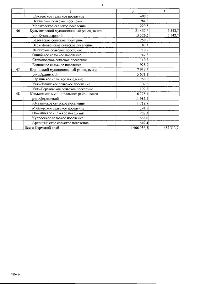
Закон Пермского края от 22.12.2014 № 414-ПК
"О бюджете Пермского края на 2015 год и на плановый период 2016 и 2017 годов"
Номер опубликования: 5900201412260003
Дата опубликования: 26.12.2014
Страница №579 из 613:
Увеличить