Официальное опубликование правовых актов
ОФИЦИАЛЬНОЕ ОПУБЛИКОВАНИЕ
Приказ Министерства градостроительства и архитектуры Пензенской области от 26.01.2026 № 23-3
"О внесении изменений в Генеральный план муниципального образования Полеологовский сельсовет Бессоновского района Пензенской области, утвержденный решением Собрания представителей Бессоновского района Пензенской области третьего созыва от 21.10.2015 № 433-58/3"
(Зарегистрирован 26.01.2026 № 23-3)
Номер опубликования: 5801202601280002
Дата опубликования: 28.01.2026
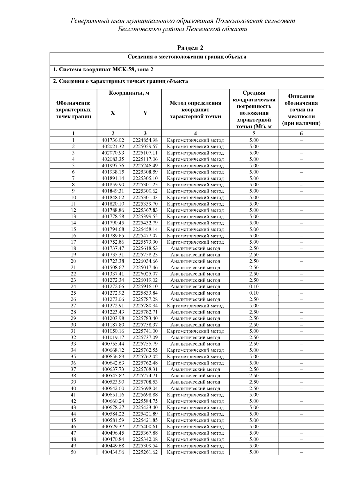
Страница №22 из 30:
Увеличить