Приказ Министерства градостроительства и архитектуры Пензенской области от 25.12.2025 № 23-1037
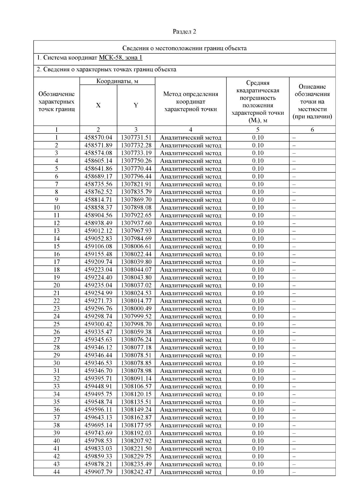
"Об утверждении границ охранной зоны существующего газопровода высокого давления, протяженностью 8392 м, расположенного по адресу: Пензенская область, Спасский район, и наложении ограничений (обременений) на входящие в нее земельные участки"
(Зарегистрирован 25.12.2025 № 23-1037)
"Об утверждении границ охранной зоны существующего газопровода высокого давления, протяженностью 8392 м, расположенного по адресу: Пензенская область, Спасский район, и наложении ограничений (обременений) на входящие в нее земельные участки"
(Зарегистрирован 25.12.2025 № 23-1037)
Номер опубликования: 5801202512290012
Дата опубликования:
29.12.2025
