Официальное опубликование правовых актов
ОФИЦИАЛЬНОЕ ОПУБЛИКОВАНИЕ
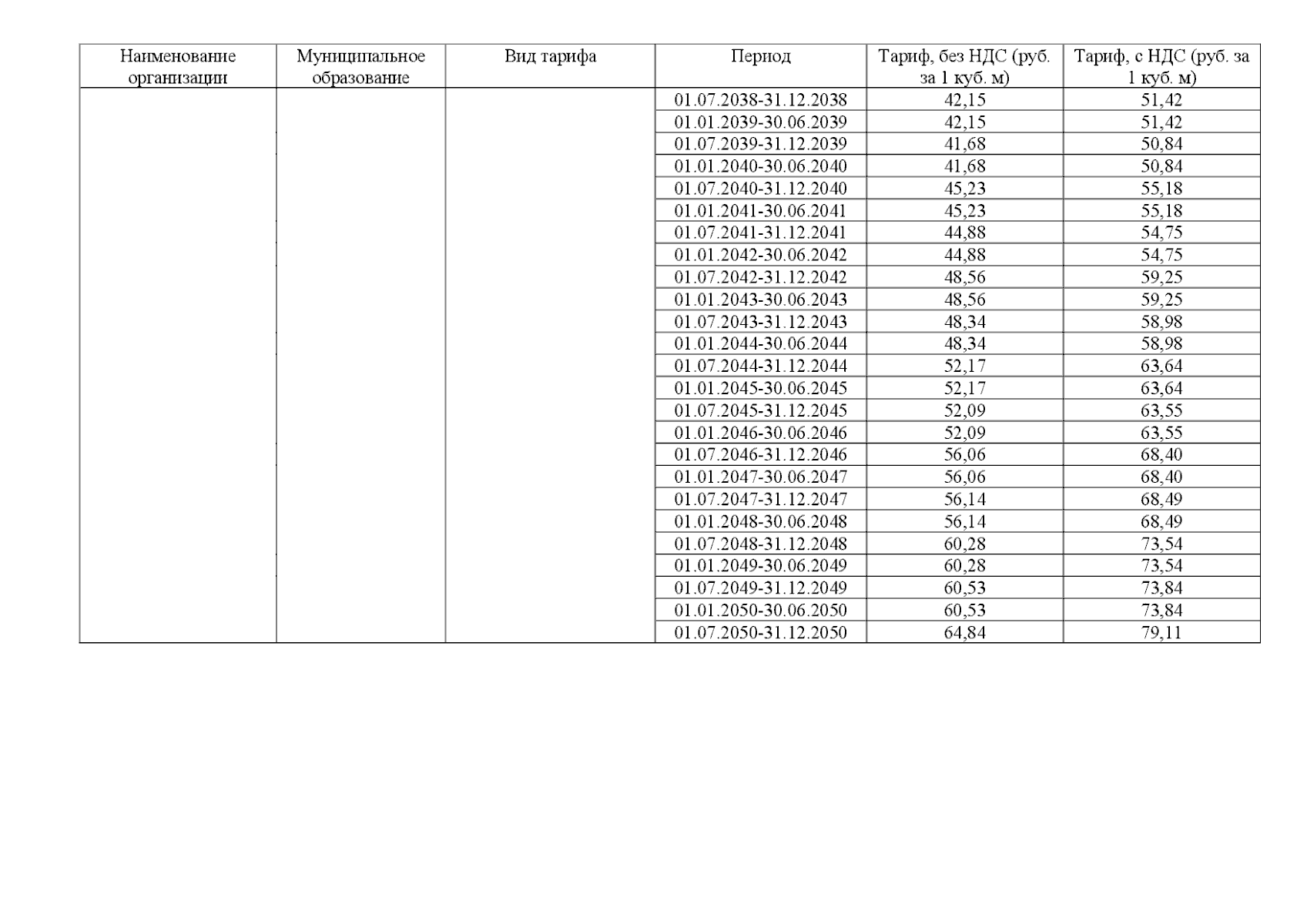
Приказ Министерства жилищно-коммунального хозяйства и гражданской защиты населения Пензенской области от 19.12.2025 № 26-148/ОД
"Об установлении одноставочных тарифов на питьевую воду (питьевое водоснабжение) и водоотведение для потребителей ООО "ЭнергоПромРесурс" на территории г. Заречного Пензенской области на 2026-2050 годы"
(Зарегистрирован 19.12.2025 № 26-148/ОД)
Номер опубликования: 5801202512240027
Дата опубликования: 24.12.2025
Страница №8 из 10:
Увеличить