Официальное опубликование правовых актов
ОФИЦИАЛЬНОЕ ОПУБЛИКОВАНИЕ
Приказ Министерства градостроительства и архитектуры Пензенской области от 18.12.2025 № 23-967
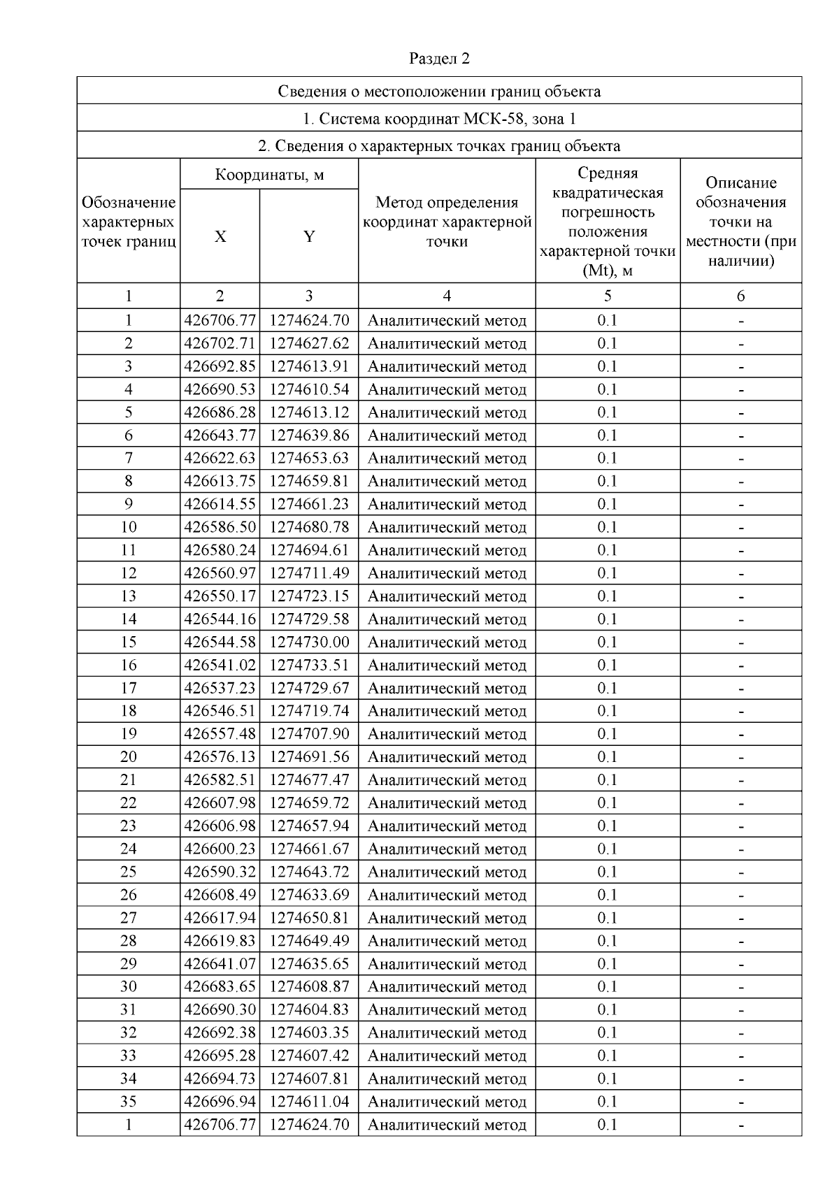
"Об утверждении границ охранной зоны существующего газопровода среднего и низкого давления, протяженностью 252 м, расположенного по адресу: Пензенская область, Земетчинский район, с. Вяземка, ул. Мичурина, 97, и наложении ограничений (обременений) на входящие в нее земельные участки"
(Зарегистрирован 18.12.2025 № 23-967)
Номер опубликования: 5801202512220034
Дата опубликования: 22.12.2025
Страница №5 из 6:
Увеличить