Приказ Министерства градостроительства и архитектуры Пензенской области от 10.12.2025 № 23-913
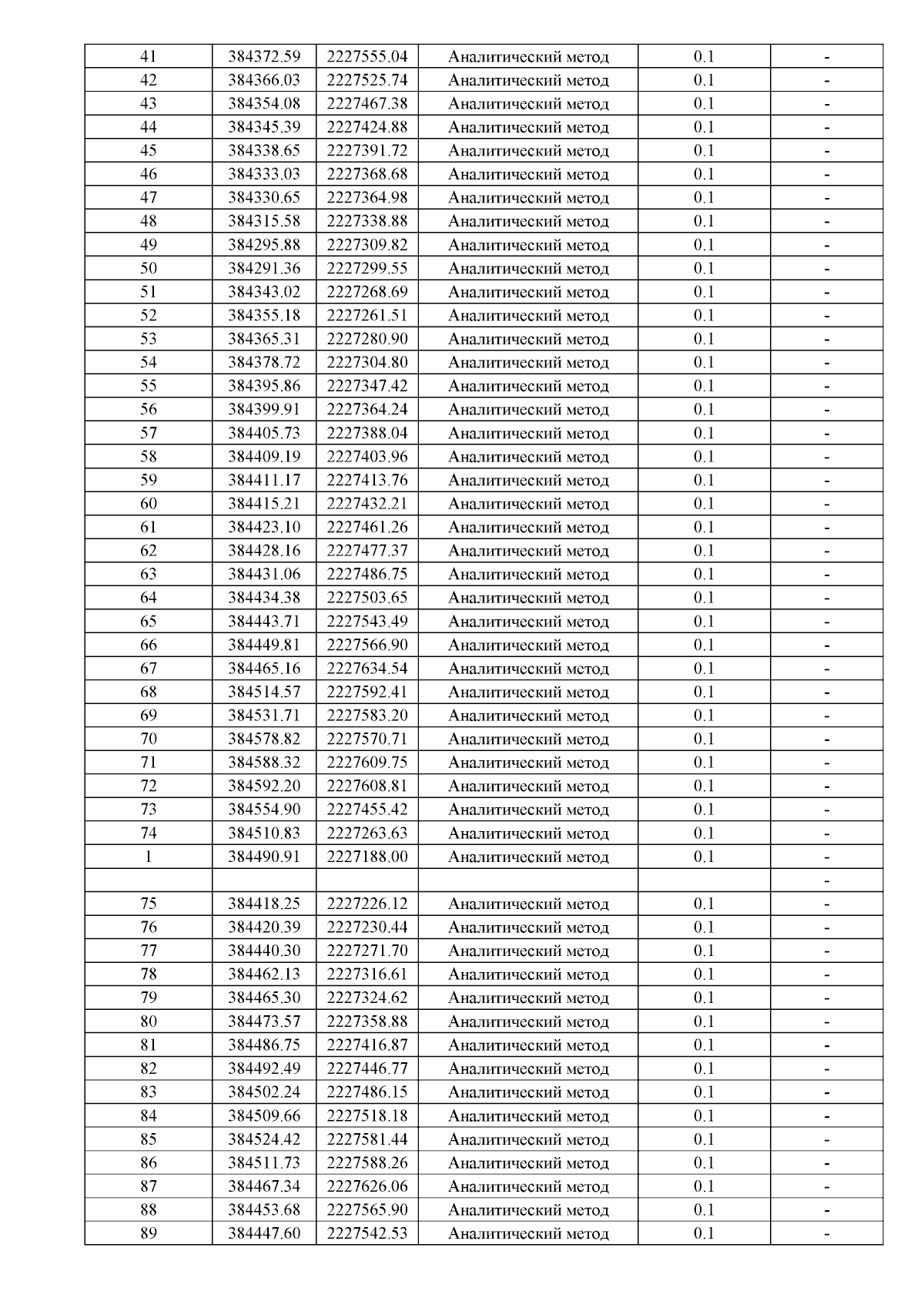
"О признании утратившим силу приказа Министерства строительства и жилищно-коммунального хозяйства Пензенской области от 28.12.2015 № 1422/ОД и об утверждении границ охранной зоны существующего газопровода, протяженностью 2519 м, расположенной по адресу: Пензенская область, город Пенза, ул. Маресьева, Сурикова, Средняя, 8 марта, и наложении ограничений (обременений) на входящие в нее земельные участки"
(Зарегистрирован 10.12.2025 № 23-913)
"О признании утратившим силу приказа Министерства строительства и жилищно-коммунального хозяйства Пензенской области от 28.12.2015 № 1422/ОД и об утверждении границ охранной зоны существующего газопровода, протяженностью 2519 м, расположенной по адресу: Пензенская область, город Пенза, ул. Маресьева, Сурикова, Средняя, 8 марта, и наложении ограничений (обременений) на входящие в нее земельные участки"
(Зарегистрирован 10.12.2025 № 23-913)
Номер опубликования: 5801202512150006
Дата опубликования:
15.12.2025
