Официальное опубликование правовых актов
ОФИЦИАЛЬНОЕ ОПУБЛИКОВАНИЕ
Приказ Министерства лесного, охотничьего хозяйства и природопользования Пензенской области от 03.12.2025 № 15-140
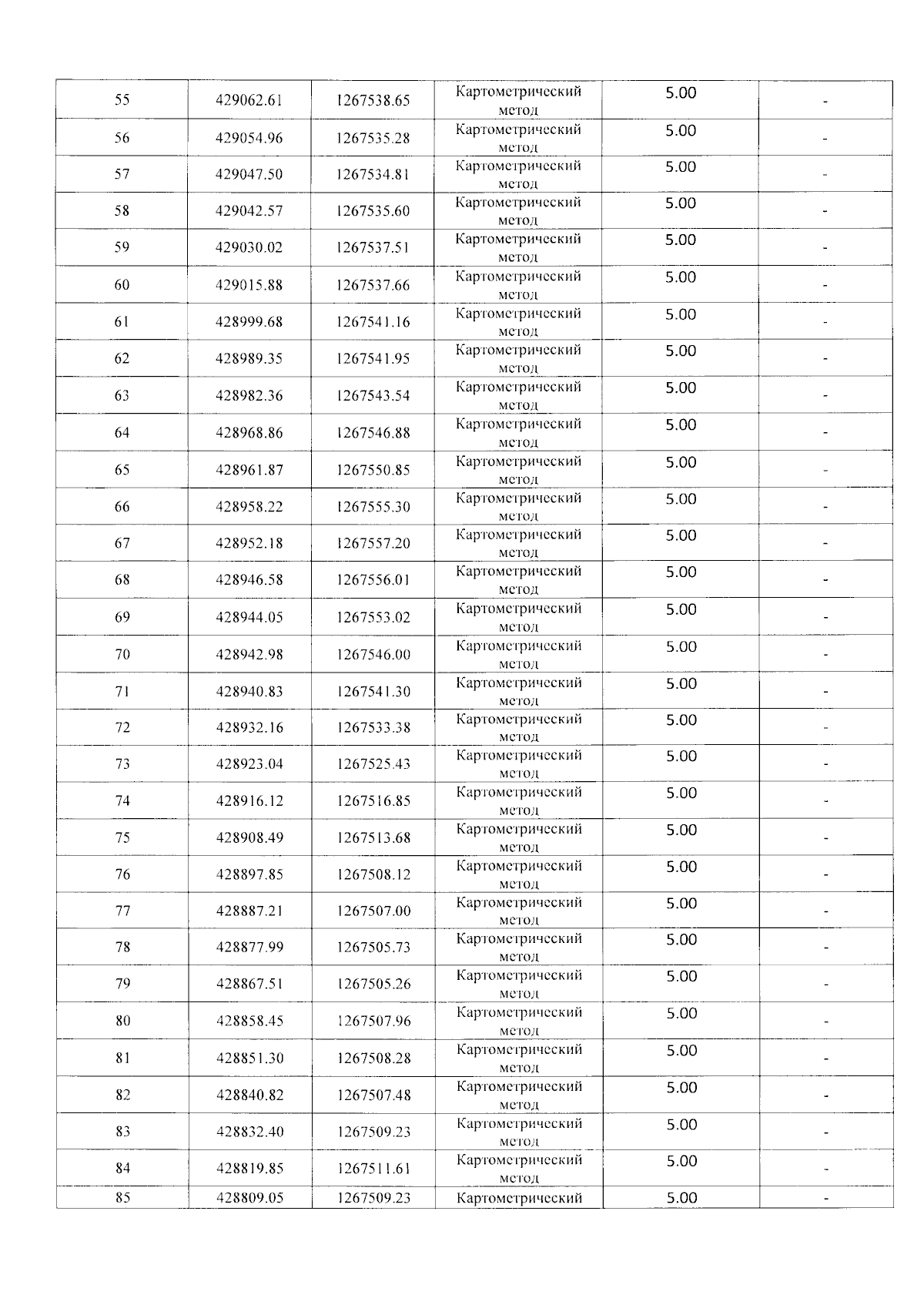
"Об установлении местоположения береговой линии (границы водного объекта), границы водоохранной зоны и границы прибрежной защитной полосы р. Сыч Земетчинского района Пензенской области"
(Зарегистрирован 03.12.2025 № 15-140)
Номер опубликования: 5801202512080024
Дата опубликования: 08.12.2025
Страница №18 из 20:
Увеличить