Официальное опубликование правовых актов
ОФИЦИАЛЬНОЕ ОПУБЛИКОВАНИЕ
Приказ Министерства градостроительства и архитектуры Пензенской области от 21.11.2025 № 23-802
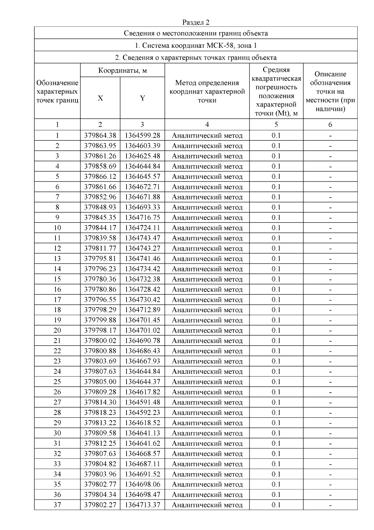
"Об утверждении границ охранной зоны существующего газопровода низкого давления, протяженностью 421 м, расположенного по адресу: Пензенская область, р-н Каменский, г Каменка, от точки врезки на ул Герцена по ул Герцена 65-73,70-82, и наложении ограничений (обременений) на входящие в нее земельные участки"
(Зарегистрирован 21.11.2025 № 23-802)
Номер опубликования: 5801202511250026
Дата опубликования: 25.11.2025
Страница №5 из 6:
Увеличить