Официальное опубликование правовых актов
ОФИЦИАЛЬНОЕ ОПУБЛИКОВАНИЕ
Приказ Министерства градостроительства и архитектуры Пензенской области от 19.11.2025 № 23-785
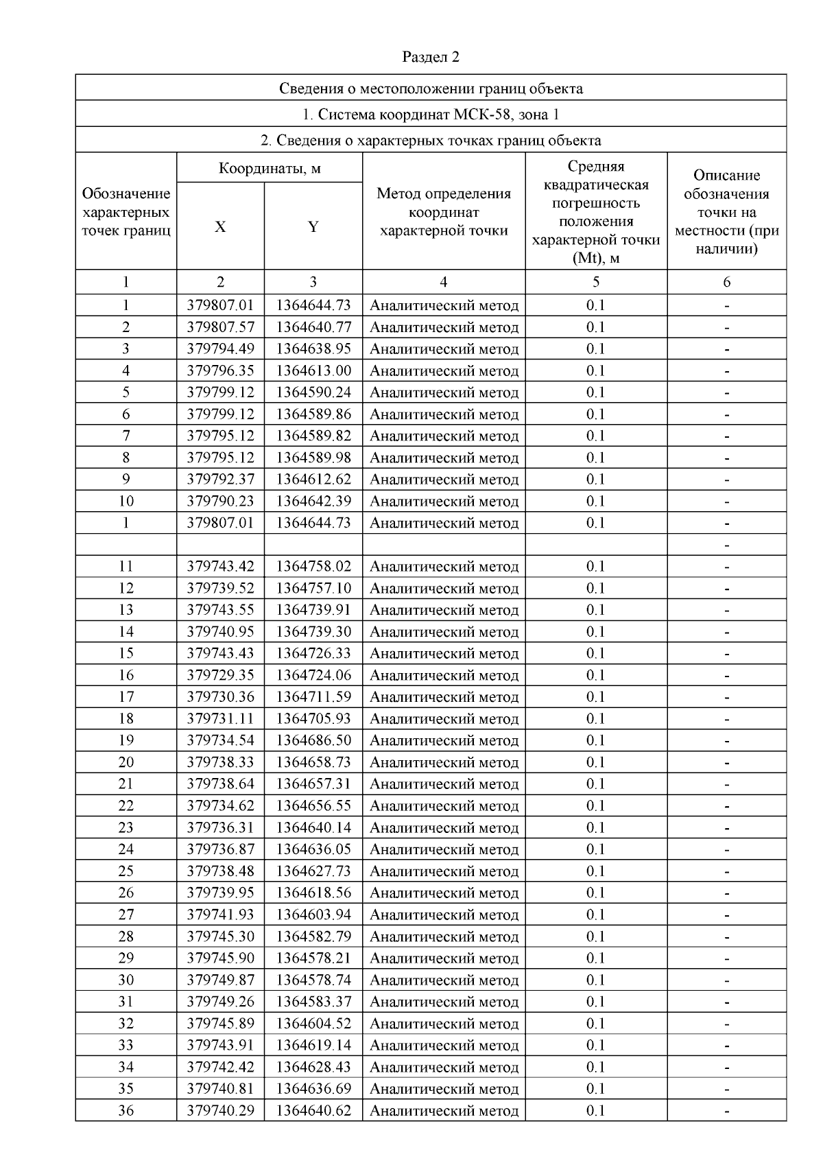
"Об утверждении границ охранной зоны существующего газопровода низкого давления, протяженностью 517 м, расположенного по адресу: Пензенская область, Каменский район, г. Каменка, от точки врезки на ул. Некрасова по ул. Некрасова 71-85,72-80, и наложении ограничений (обременений) на входящие в нее земельные участки"
(Зарегистрирован 19.11.2025 № 23-785)
Номер опубликования: 5801202511210014
Дата опубликования: 21.11.2025
Страница №5 из 6:
Увеличить