Официальное опубликование правовых актов
ОФИЦИАЛЬНОЕ ОПУБЛИКОВАНИЕ
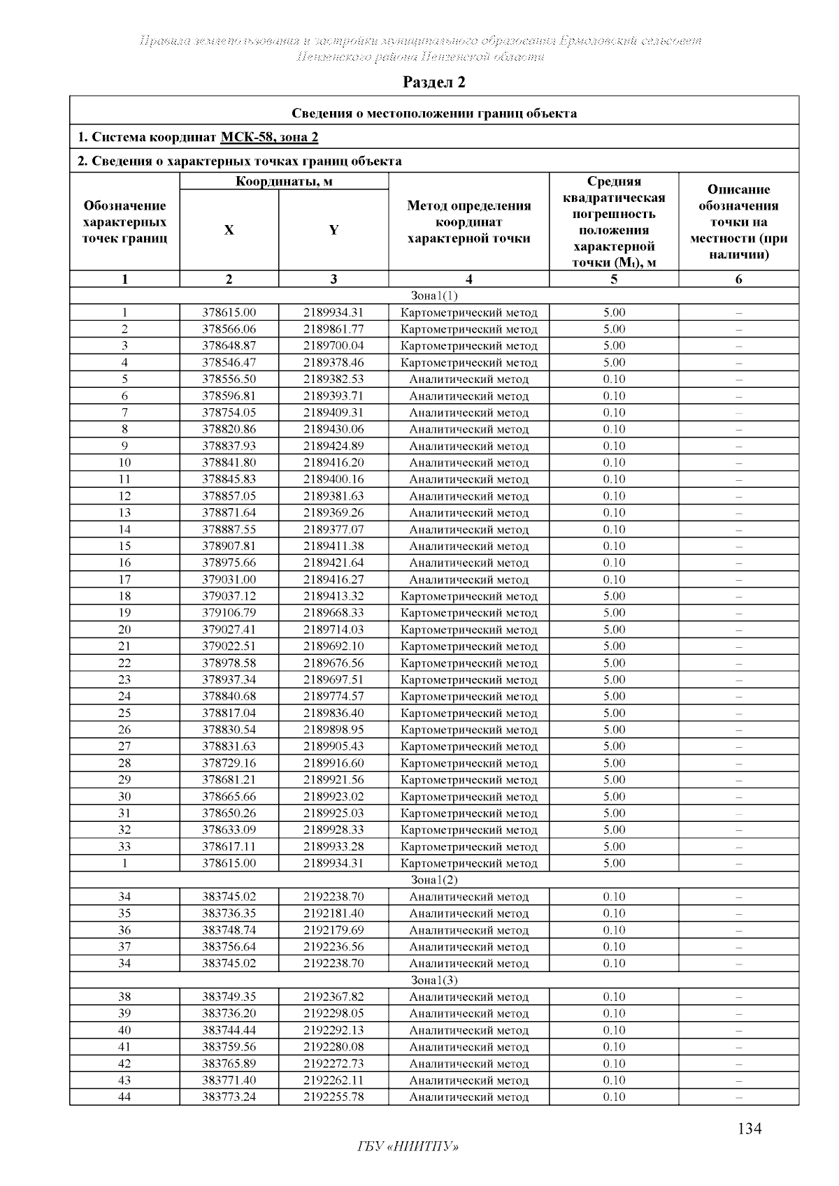
Приказ Министерства градостроительства и архитектуры Пензенской области от 18.11.2025 № 23-767
"Об утверждении Правил землепользования и застройки муниципального образования Ермоловский сельсовет Пензенского района Пензенской области"
(Зарегистрирован 18.11.2025 № 23-767)
Номер опубликования: 5801202511190010
Дата опубликования: 19.11.2025
Страница №134 из 179:
Увеличить