Приказ Министерства градостроительства и архитектуры Пензенской области от 23.10.2025 № 23-682
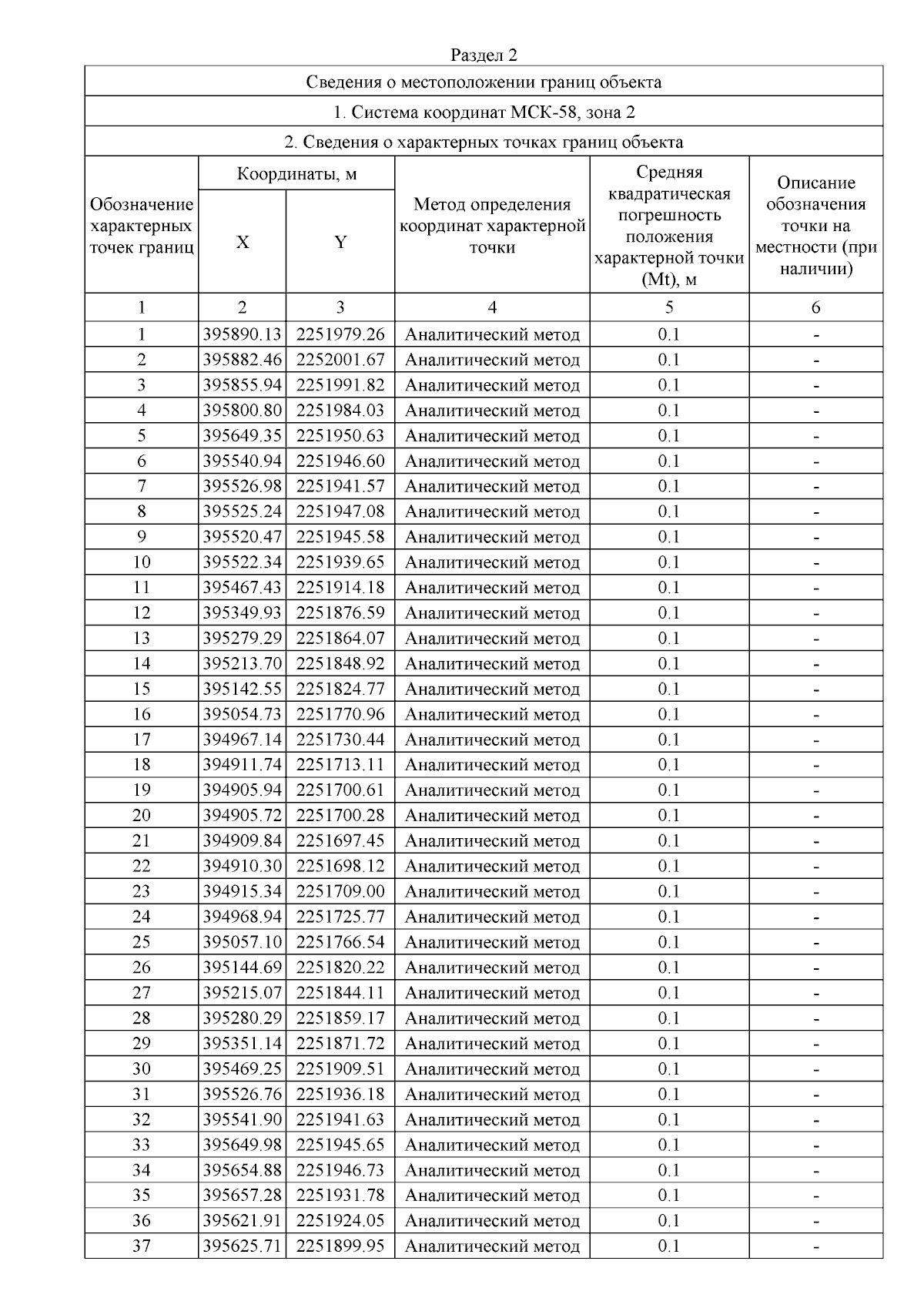
"Об утверждении границ охранной зоны существующего газопровода низкого давления, протяженностью 1144 м, расположенного по адресу: Российская Федерация, Пензенская область, Бессоновский район, с. Лопуховка, ул. Нагорная, и наложении ограничений (обременений) на входящие в нее земельные участки"
(Зарегистрирован 23.10.2025 № 23-682)
"Об утверждении границ охранной зоны существующего газопровода низкого давления, протяженностью 1144 м, расположенного по адресу: Российская Федерация, Пензенская область, Бессоновский район, с. Лопуховка, ул. Нагорная, и наложении ограничений (обременений) на входящие в нее земельные участки"
(Зарегистрирован 23.10.2025 № 23-682)
Номер опубликования: 5801202510240004
Дата опубликования:
24.10.2025
