Официальное опубликование правовых актов
ОФИЦИАЛЬНОЕ ОПУБЛИКОВАНИЕ
Приказ Министерства градостроительства и архитектуры Пензенской области от 06.10.2025 № 23-608
"О внесении изменений в Генеральный план муниципального образования Яснополянский сельсовет Кузнецкого района Пензенской области, утвержденный решением Комитета местного самоуправления Яснополянского сельсовета Кузнецкого района Пензенской области от 25.03.2011 № 266"
(Зарегистрирован 06.10.2025 № 23-608)
Номер опубликования: 5801202510070001
Дата опубликования: 07.10.2025
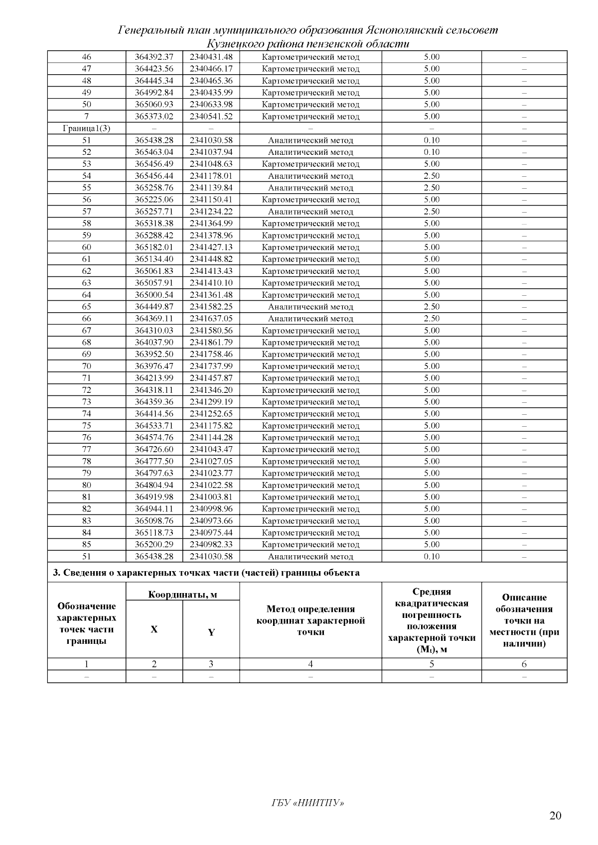
Страница №33 из 33:
Увеличить