Официальное опубликование правовых актов
ОФИЦИАЛЬНОЕ ОПУБЛИКОВАНИЕ
Приказ Министерства градостроительства и архитектуры Пензенской области от 24.09.2025 № 23-551
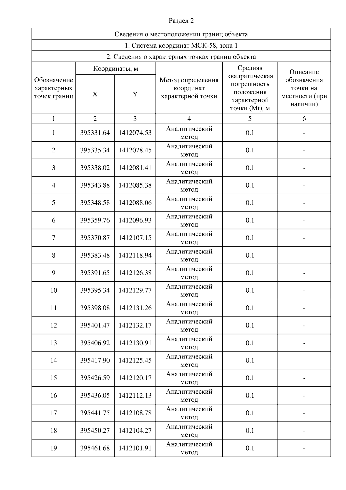
"Об утверждении границ охранной зоны существующего газопровода высокого и низкого давления, проложенный для газоснабжения объекта кап. строительства (16 индивидуальных жилых домов), протяженностью 2110 м, расположенного по адресу: Пензенская область, Мокшанский р-н, с. Рамзай, ул. Луговая, и наложении ограничений (обременений) на входящие в нее земельные участки"
(Зарегистрирован 24.09.2025 № 23-551)
Номер опубликования: 5801202509250017
Дата опубликования: 25.09.2025
Страница №5 из 16:
Увеличить