Официальное опубликование правовых актов
ОФИЦИАЛЬНОЕ ОПУБЛИКОВАНИЕ
Приказ Министерства градостроительства и архитектуры Пензенской области от 15.09.2025 № 23-525
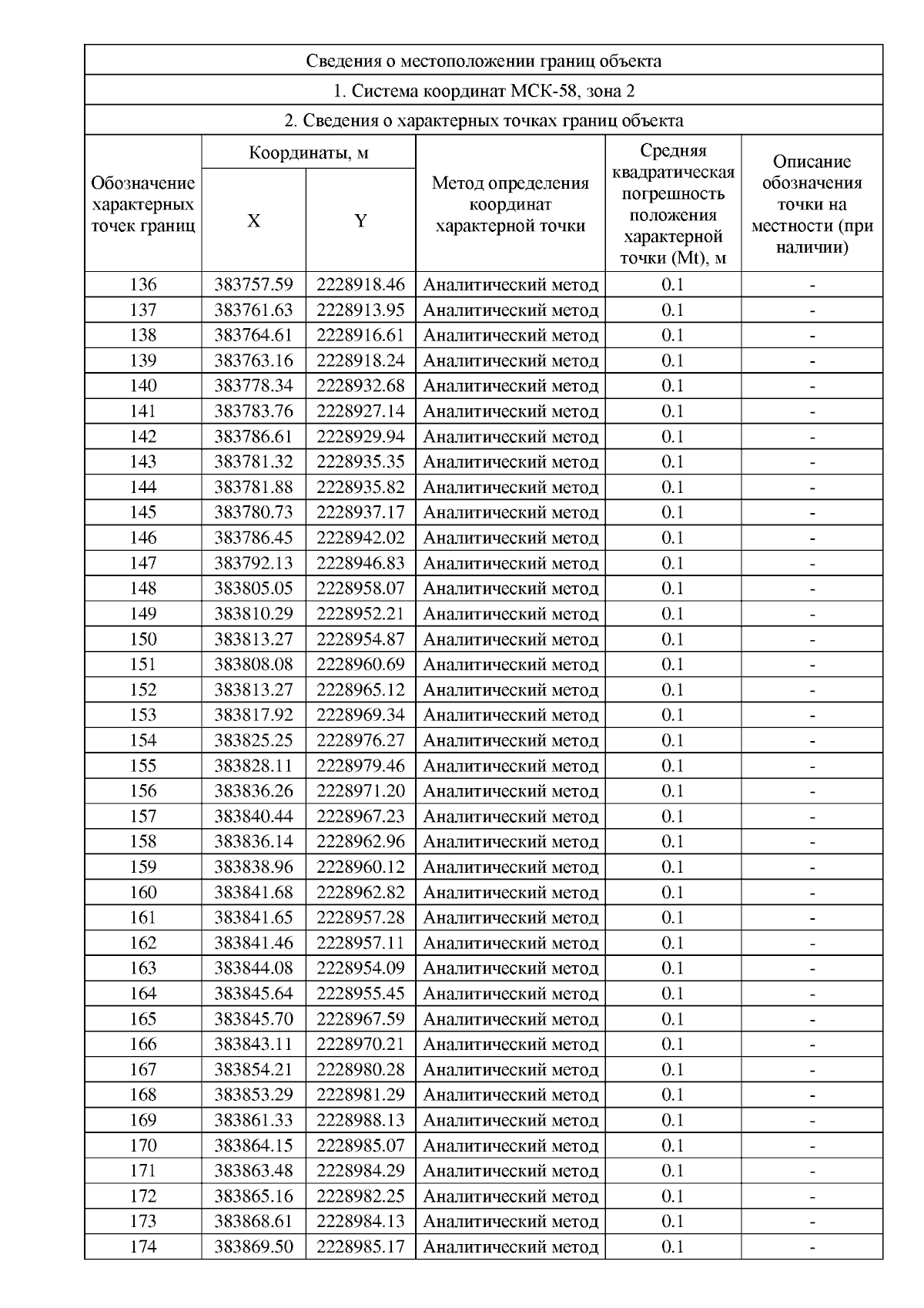
"О признании утратившим силу приказа Министерства градостроительства и архитектуры Пензенской области от 27.02.2025 № 23-62 и об утверждении границ охранной зоны существующей внутриквартальной сети газоснабжения по ул. Сурская, ул. Угловая, ул. Суворова, ул. Урицкого, ул. Дарвина, ул. Восьмого Марта, ул. Кирова, ул. Славы, ул. Карпинского, ул. Короленко, ул. Толстого, ул. Новогражданская, ул. Локомотивная, ул. Касаткина, пер. Транспортный, ул. Московская, ул. Тимирязева, ул. Злобина, ул. Ерик, ул. Тухачевского, ул. Бакунина, ул. Некрасова, ул. Кураева, ул. Огарева, ул. Привокзальная, ул. Либерсона, ул. Набережная, ул. Новый Кавказ, ул. Пугачева, ул. Боевая Гора, ул. Тухачевского, ул. Бекешская, ул. Набережная р. Пензы, ул. Красная, ул. Железнодорожная, протяженностью 9319 м, расположенной по адресу: Пензенская область, г. Пенза"
(Зарегистрирован 15.09.2025 № 23-525)
Номер опубликования: 5801202509160024
Дата опубликования: 16.09.2025
Страница №10 из 35:
Увеличить