Официальное опубликование правовых актов
ОФИЦИАЛЬНОЕ ОПУБЛИКОВАНИЕ
Приказ Министерства градостроительства и архитектуры Пензенской области от 05.08.2025 № 23-464
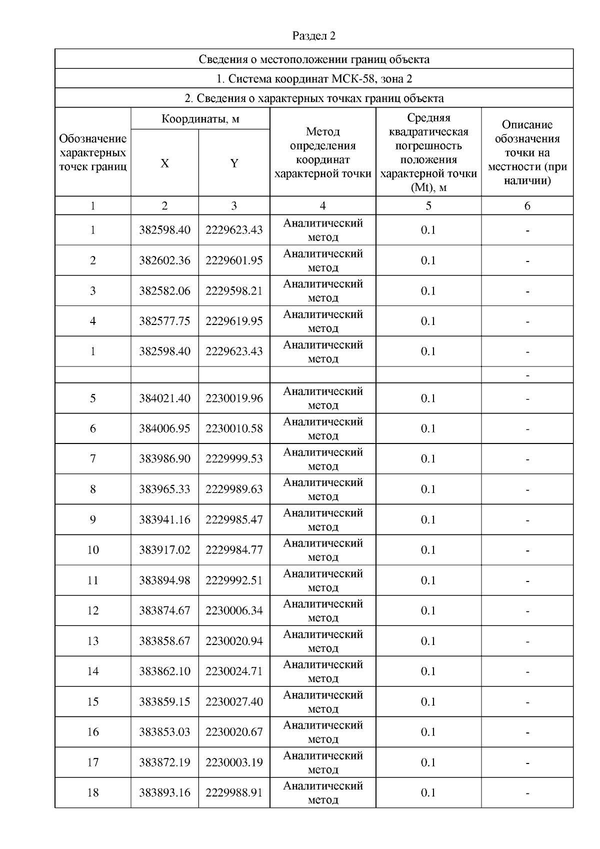
"О признании утратившим силу приказа Министерства градостроительства и архитектуры Пензенской области от 18.04.2022 № 25/ОД и об утверждении границ охранной зоны существующей внутриквартальной сети газоснабжения по ул. Каракозова, 33 А; пр. Жемчужный, 10 б (8); ул. Кузнецкая, ул. Жемчужная, 24, 28 (кв.1, кв.3), 26 (кв.1, кв.1а, кв.2, кв. 3), 21а (кв.1, кв.2), 21-1; ул. Саранская, 115, 119 А, 119 Б, 121, 123, 125, 127, 129; пр. Жемчужный, 3; ул. Ухтомского, 19-36, перекладка газопровода в районе ул. Ухтомского - ул. Толстого от дома 19 до дома 36; ул. Толстого,119; установка ГРПШ; ул. Луначарского,36, перекладка газопровода низкого давления; ул. Ухтомского,1а; ул. Луначарского, ул. Дзержинского, 34а,23а; ул. Луначарского,53, протяженностью 1643 м, расположенной по адресу: Пензенская область, г. Пенза, и наложении ограничений (обременений) на входящие в нее земельные участки"
(Зарегистрирован 05.08.2025 № 23-464)
Номер опубликования: 5801202508070017
Дата опубликования: 07.08.2025
Страница №6 из 15:
Увеличить