Официальное опубликование правовых актов
ОФИЦИАЛЬНОЕ ОПУБЛИКОВАНИЕ
Приказ Министерства градостроительства и архитектуры Пензенской области от 29.07.2025 № 23-429
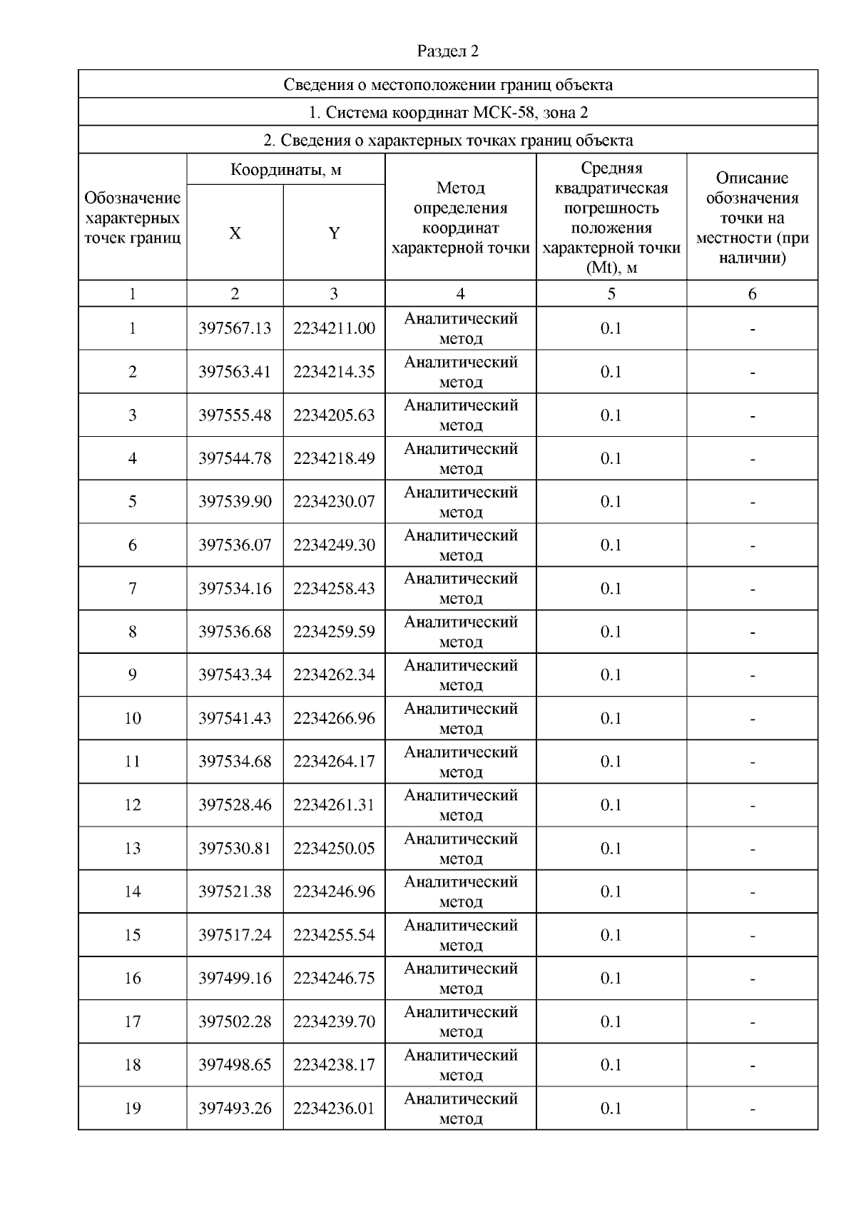
"Об утверждении границ охранной зоны существующего газопровода высокого и низкого давления, протяженностью 362 м, расположенного по адресу: Пензенская область, Бессоновский р-н, с. Бессоновка, ул. Железнодорожная, и наложении ограничений (обременений) на входящие в нее земельные участки"
(Зарегистрирован 29.07.2025 № 23-429)
Номер опубликования: 5801202508010017
Дата опубликования: 01.08.2025
Страница №5 из 7:
Увеличить