Официальное опубликование правовых актов
ОФИЦИАЛЬНОЕ ОПУБЛИКОВАНИЕ
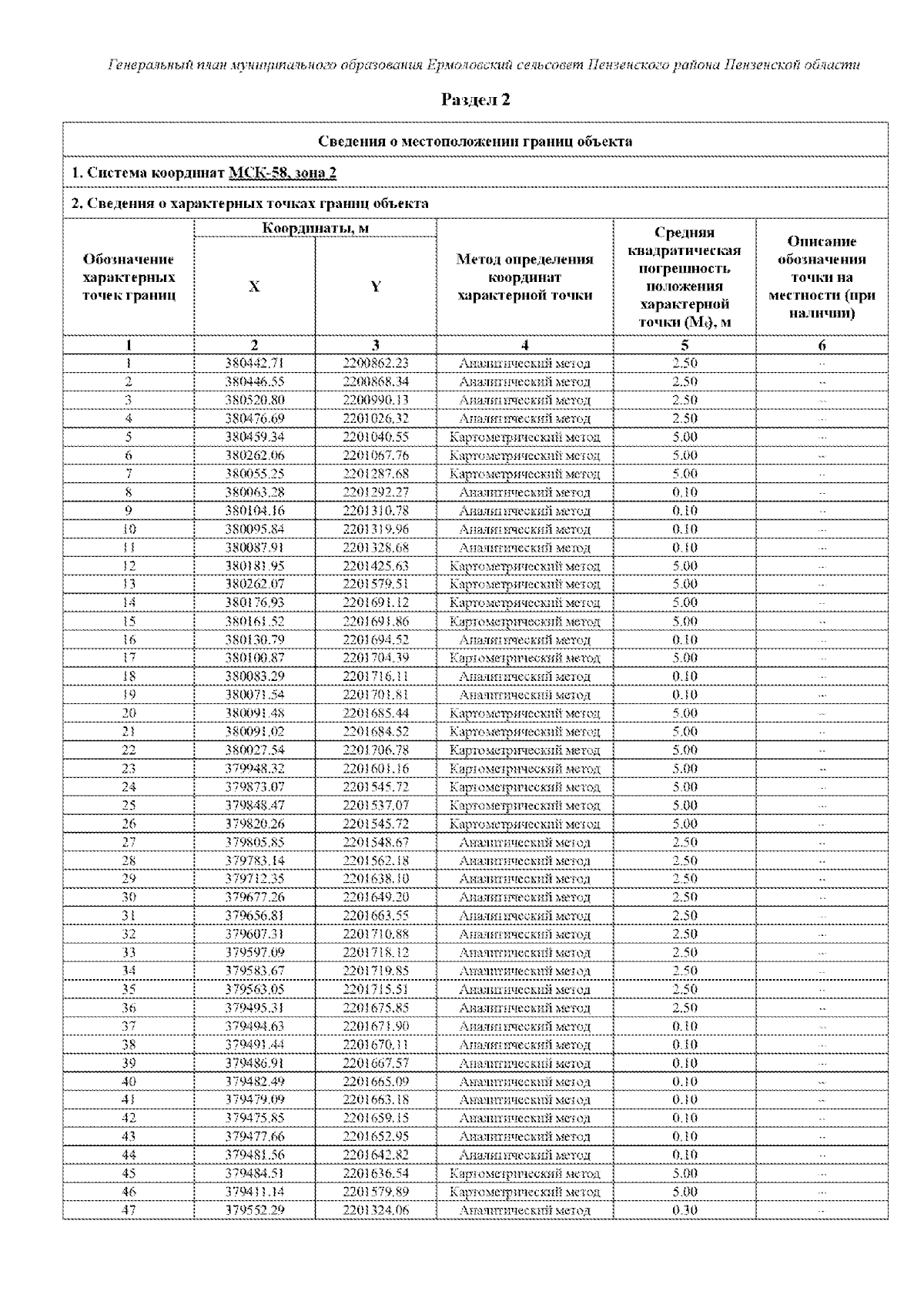
Приказ Министерства градостроительства и архитектуры Пензенской области от 30.07.2025 № 23-445
"О внесении изменений в Генеральный план муниципального образования Ермоловский сельсовет Пензенского района Пензенской области, утвержденный решением Комитета местного самоуправления Ермоловского сельсовета Пензенского района Пензенской области третьего созыва от 10.12.2019 № 19-7/3"
(Зарегистрирован 30.07.2025 № 23-445)
Номер опубликования: 5801202508010004
Дата опубликования: 01.08.2025
Страница №35 из 51:
Увеличить