Приказ Министерства градостроительства и архитектуры Пензенской области от 18.07.2025 № 23-409
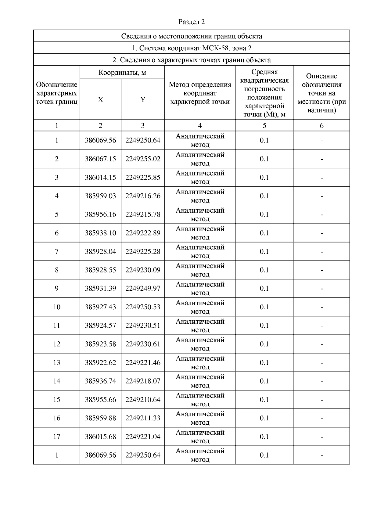
"Об утверждении границ охранной зоны существующего газопровода низкого давления, протяженностью 179 м, расположенного по адресу: Российская Федерация, Пензенская область, Бессоновский муниципальный район, сельское поселение Кижеватовский сельсовет, село Кижеватово, улица Нижняя, и наложении ограничений (обременений) на входящие в нее земельные участки"
(Зарегистрирован 18.07.2025 № 23-409)
"Об утверждении границ охранной зоны существующего газопровода низкого давления, протяженностью 179 м, расположенного по адресу: Российская Федерация, Пензенская область, Бессоновский муниципальный район, сельское поселение Кижеватовский сельсовет, село Кижеватово, улица Нижняя, и наложении ограничений (обременений) на входящие в нее земельные участки"
(Зарегистрирован 18.07.2025 № 23-409)
Номер опубликования: 5801202507220013
Дата опубликования:
22.07.2025
