Официальное опубликование правовых актов
ОФИЦИАЛЬНОЕ ОПУБЛИКОВАНИЕ
Приказ Министерства градостроительства и архитектуры Пензенской области от 14.07.2025 № 23-392
"Об утверждении Правил землепользования и застройки муниципального образования Владыкинский сельсовет Каменского района Пензенской области"
(Зарегистрирован 14.07.2025 № 23-392)
Номер опубликования: 5801202507150003
Дата опубликования: 15.07.2025
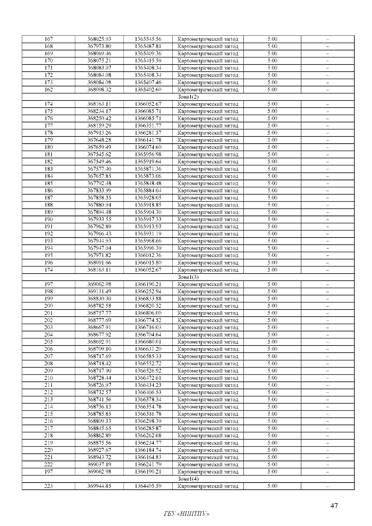
Страница №47 из 103:
Увеличить