Официальное опубликование правовых актов
ОФИЦИАЛЬНОЕ ОПУБЛИКОВАНИЕ
Приказ Министерства градостроительства и архитектуры Пензенской области от 04.07.2025 № 23-367
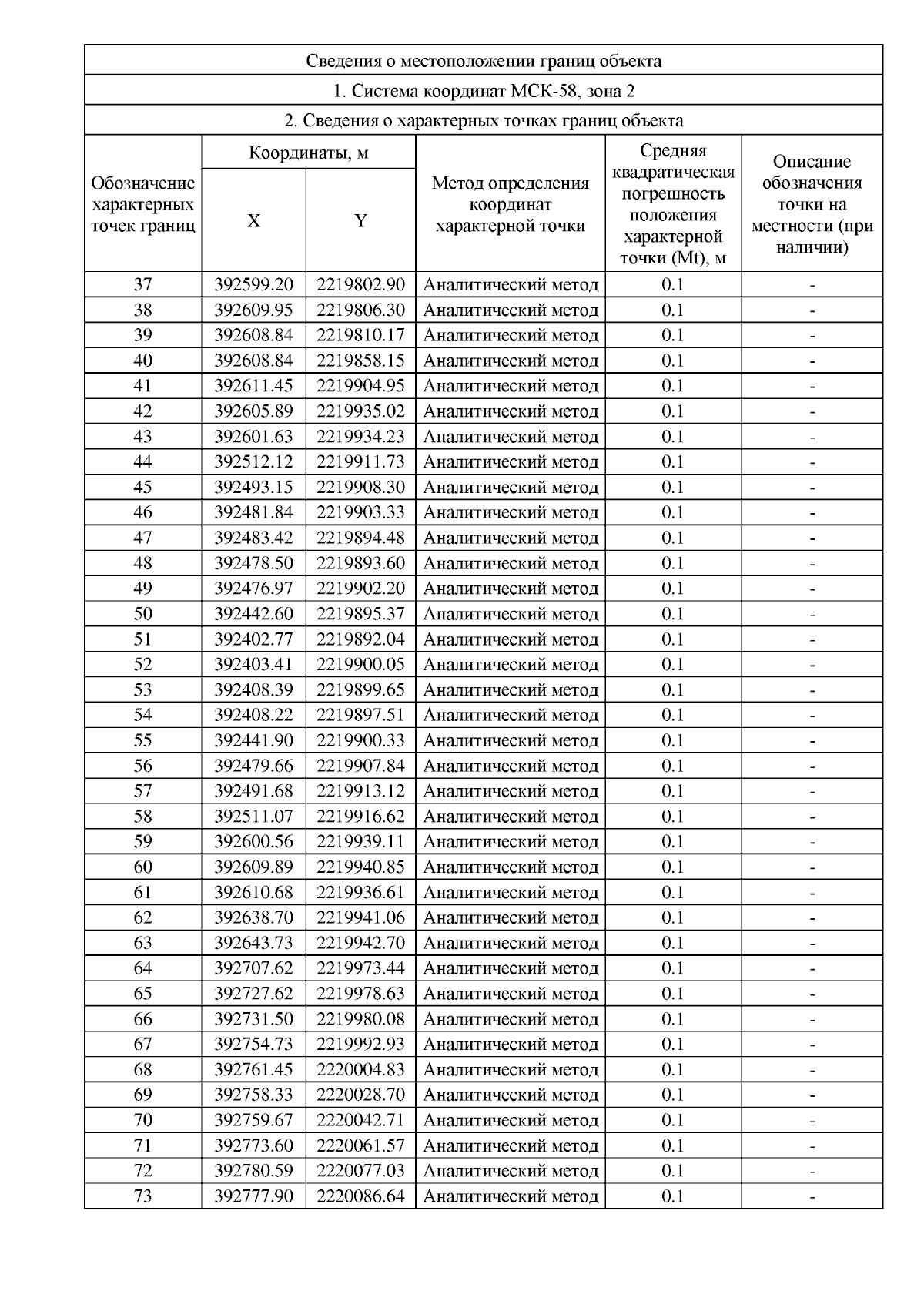
"Об утверждении границ охранной зоны существующего газопровода высокого и низкого давления, протяженностью 2596 м, расположенного по адресу: Российская Федерация, Пензенская область, Бессоновский муниципальный район, с. Мастиновка, ул. Советская, и наложении ограничений (обременений) на входящие в нее земельные участки"
(Зарегистрирован 04.07.2025 № 23-367)
Номер опубликования: 5801202507080006
Дата опубликования: 08.07.2025
Страница №6 из 10:
Увеличить