Официальное опубликование правовых актов
ОФИЦИАЛЬНОЕ ОПУБЛИКОВАНИЕ
Приказ Министерства градостроительства и архитектуры Пензенской области от 04.07.2025 № 23-362
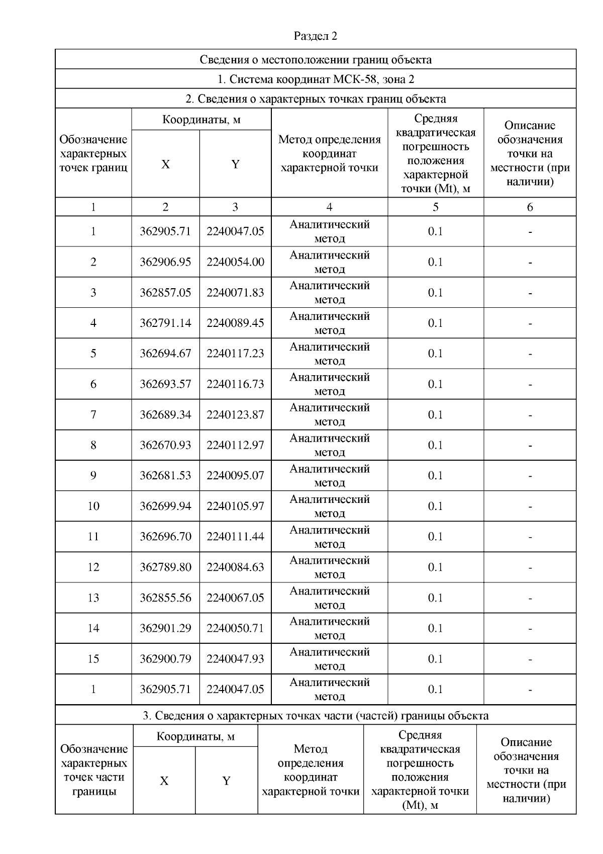
"Об утверждении границ охранной зоны существующего газопровода высокого и низкого давления, протяженностью 237 м, расположенного по адресу: Пензенская область, Пензенский р-н, с. Алферьевка, ул. Школьная, и наложении ограничений (обременений) на входящие в нее земельные участки"
(Зарегистрирован 04.07.2025 № 23-362)
Номер опубликования: 5801202507080003
Дата опубликования: 08.07.2025
Страница №5 из 7:
Увеличить