Официальное опубликование правовых актов
ОФИЦИАЛЬНОЕ ОПУБЛИКОВАНИЕ
Приказ Министерства градостроительства и архитектуры Пензенской области от 16.06.2025 № 23-269
"О внесении изменений в Генеральный план муниципального образования Алферьевский сельсовет Пензенского района Пензенской области, утвержденный решением Комитета местного самоуправления Алферьевского сельсовета Пензенского района Пензенской области седьмого созыва от 06.08.2020 № 75-12/7"
(Зарегистрирован 16.06.2025 № 23-269)
Номер опубликования: 5801202506170031
Дата опубликования: 17.06.2025
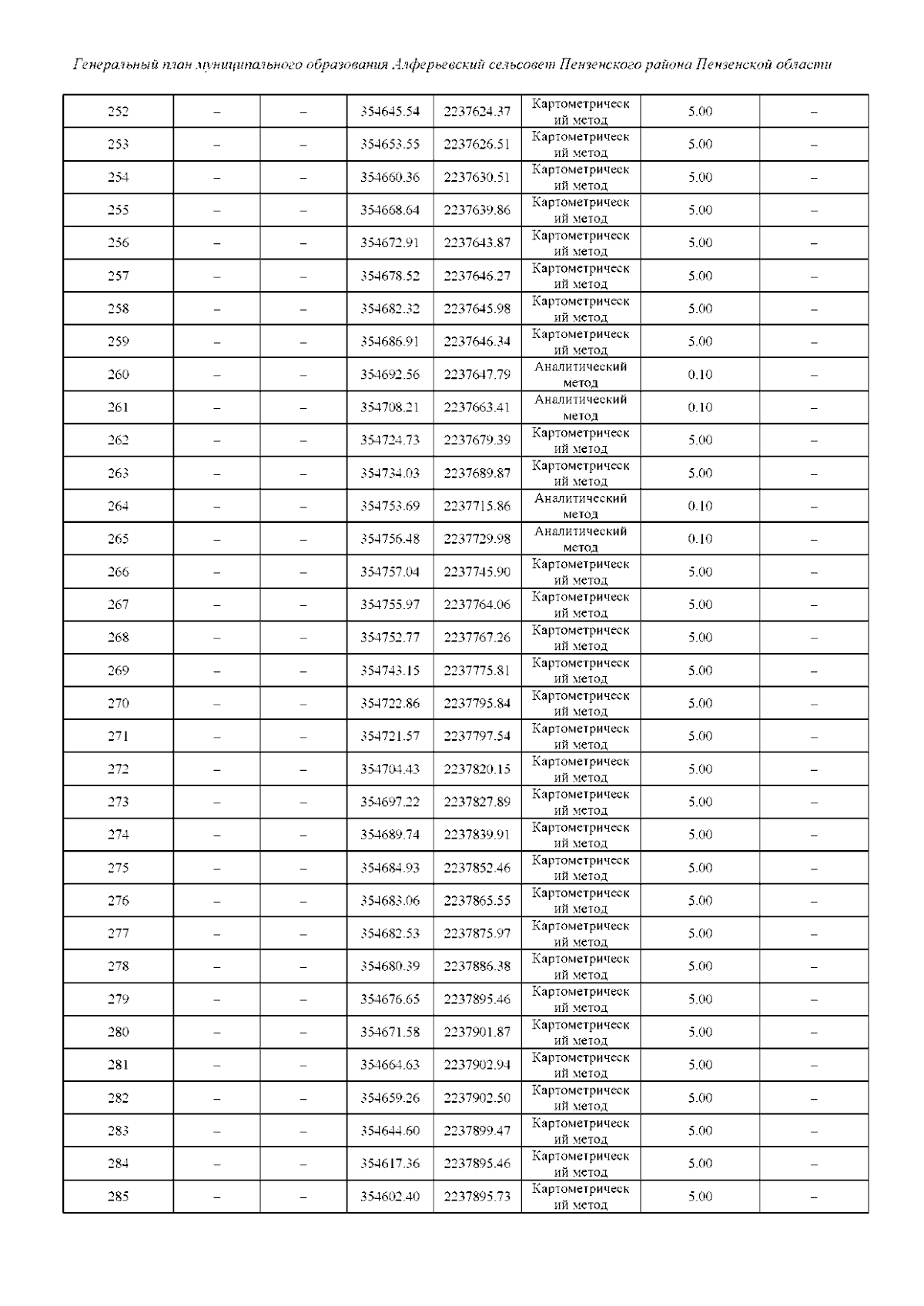
Страница №83 из 103:
Увеличить