Официальное опубликование правовых актов
ОФИЦИАЛЬНОЕ ОПУБЛИКОВАНИЕ
Приказ Министерства градостроительства и архитектуры Пензенской области от 05.06.2025 № 23-242
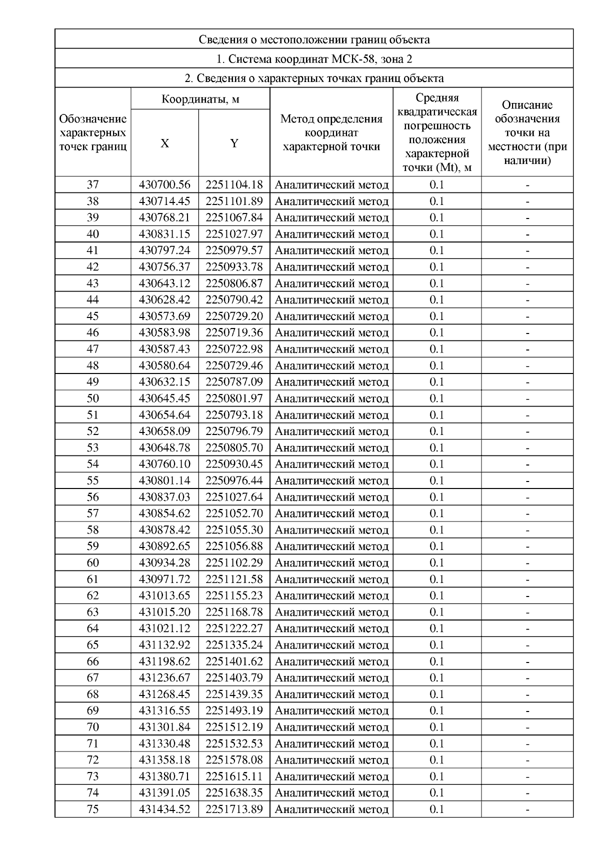
"Об утверждении границ охранной зоны существующего газопровода низкого давления, протяженностью 1681 м, расположенного по адресу: Российская Федерация, Пензенская область, Лунинский р-н, с. Новая Кутля, ул. Ленина, д. 19, и наложении ограничений (обременений) на входящие в нее земельные участки"
(Зарегистрирован 05.06.2025 № 23-242)
Номер опубликования: 5801202506060001
Дата опубликования: 06.06.2025
Страница №6 из 7:
Увеличить