Официальное опубликование правовых актов
ОФИЦИАЛЬНОЕ ОПУБЛИКОВАНИЕ
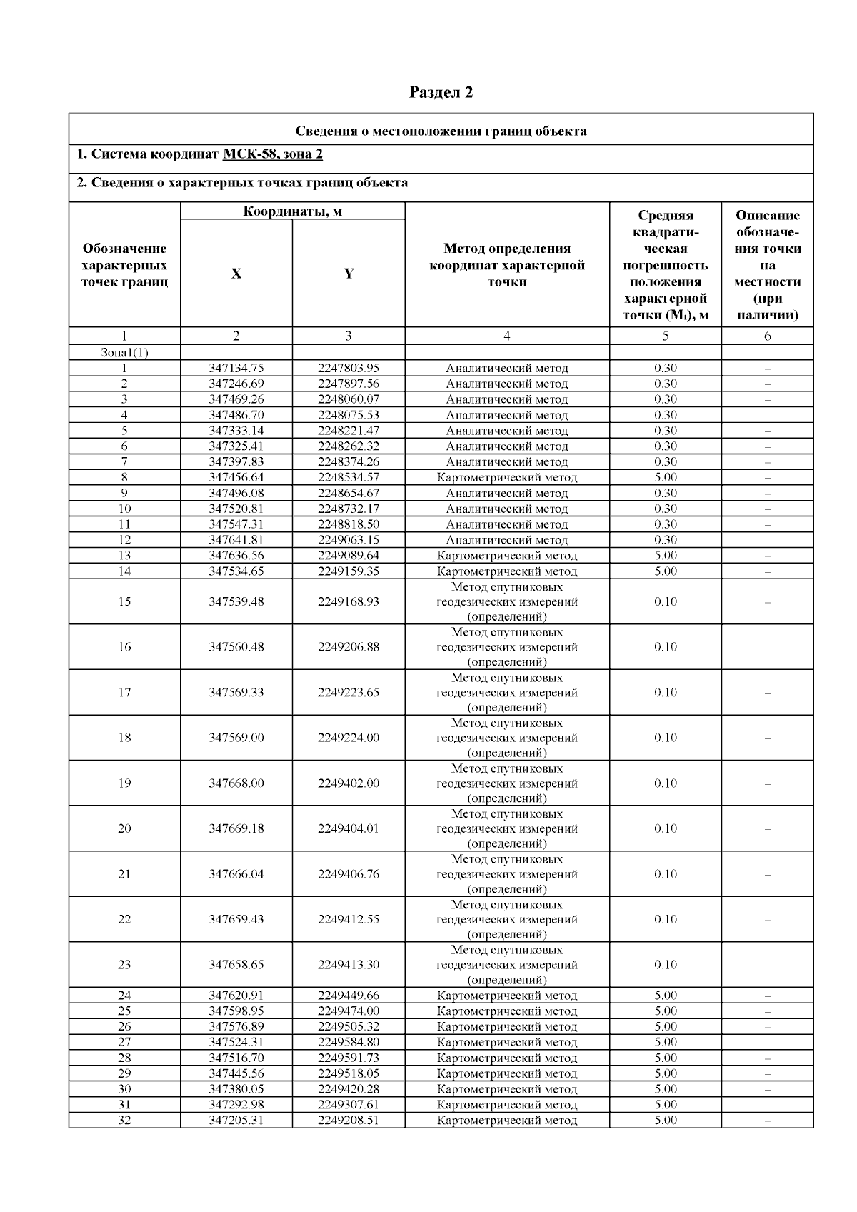
Приказ Министерства градостроительства и архитектуры Пензенской области от 27.05.2025 № 23-235
"О внесении изменений в приказ Министерства градостроительства и архитектуры Пензенской области от 01.04.2025 № 23-142 "О внесении изменений в Правила землепользования и застройки муниципального образования Старозахаркинский сельсовет Шемышейского района Пензенской области, утвержденные решением Комитета местного самоуправления Старозахаркинского сельсовета Шемышейского района Пензенской области от 12.08.2019 № 590-109/6 (с последующими изменениями)"
(Зарегистрирован 27.05.2025 № 23-235)
Номер опубликования: 5801202505280002
Дата опубликования: 28.05.2025
Страница №21 из 80:
Увеличить