Официальное опубликование правовых актов
ОФИЦИАЛЬНОЕ ОПУБЛИКОВАНИЕ
Приказ Министерства градостроительства и архитектуры Пензенской области от 24.04.2025 № 23-209
"О внесении изменений в генеральный план муниципального образования Лачиновский сельсовет Колышлейского района Пензенской области, утвержденный решением Комитета местного самоуправления Лачиновского сельсовета Колышлейского района Пензенской области от 24.05.2019 № 329-90/2"
(Зарегистрирован 24.04.2025 № 23-209)
Номер опубликования: 5801202504280006
Дата опубликования: 28.04.2025
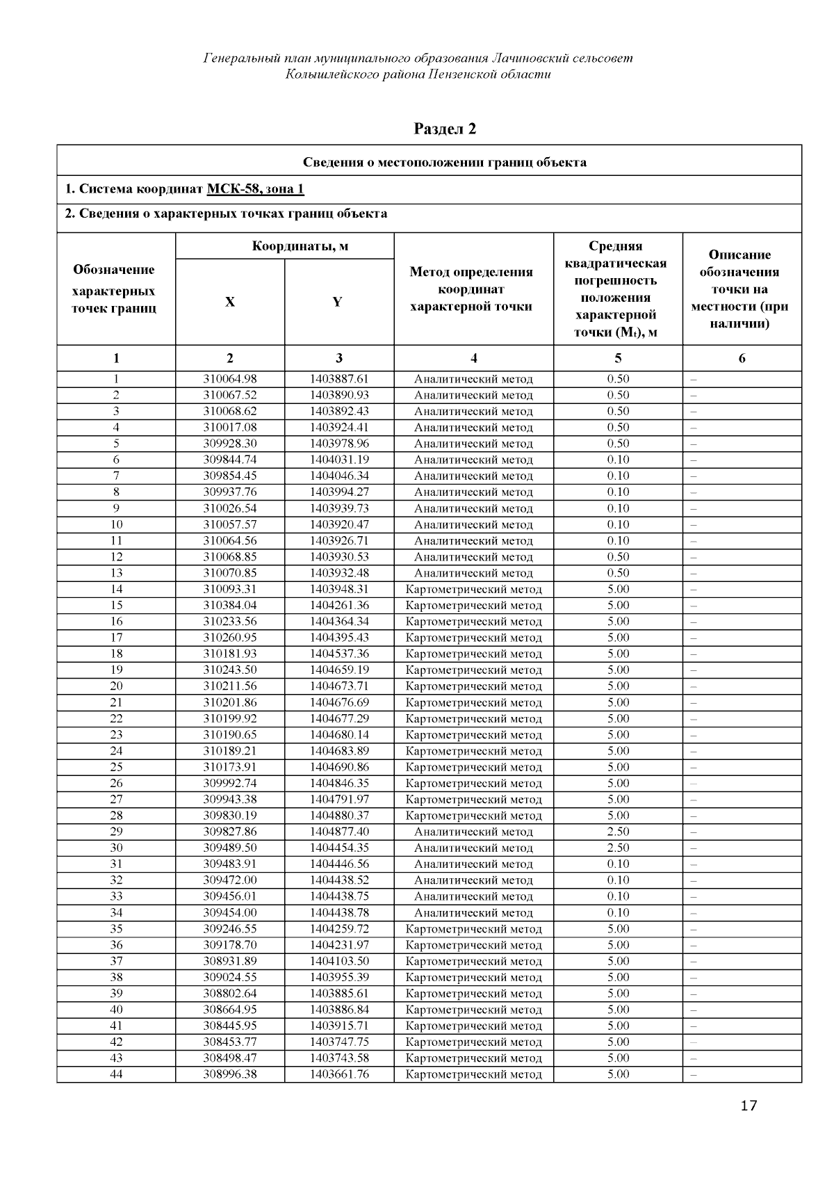
Страница №17 из 22:
Увеличить