Официальное опубликование правовых актов
ОФИЦИАЛЬНОЕ ОПУБЛИКОВАНИЕ
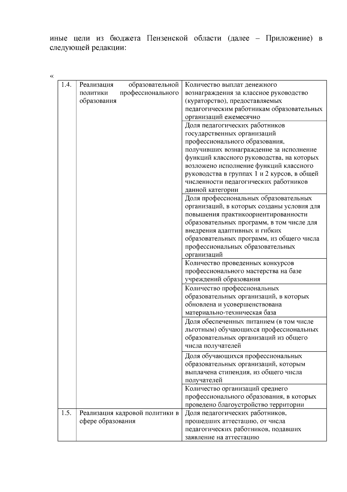
Приказ Министерства образования Пензенской области от 25.04.2025 № 16-67
"О внесении изменений в приказ Министерства образования Пензенской области от 11.01.2021 № 3/01-07 (с последующими изменениями)"
(Зарегистрирован 25.04.2025 № 16-67)
Номер опубликования: 5801202504280004
Дата опубликования: 28.04.2025
Страница №2 из 3:
Увеличить