Приказ Министерства лесного, охотничьего хозяйства и природопользования Пензенской области от 25.03.2025 № 15-18
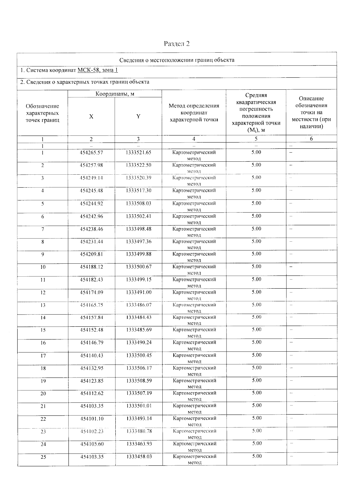
"Об установлении местоположения береговой линии (границы водного объекта), границы водоохранной зоны и границы прибрежной защитной полосы р. Шелдаис на территории Пензенской области"
(Зарегистрирован 25.03.2025 № 15-18)
"Об установлении местоположения береговой линии (границы водного объекта), границы водоохранной зоны и границы прибрежной защитной полосы р. Шелдаис на территории Пензенской области"
(Зарегистрирован 25.03.2025 № 15-18)
Номер опубликования: 5801202503260022
Дата опубликования:
26.03.2025
