Официальное опубликование правовых актов
ОФИЦИАЛЬНОЕ ОПУБЛИКОВАНИЕ
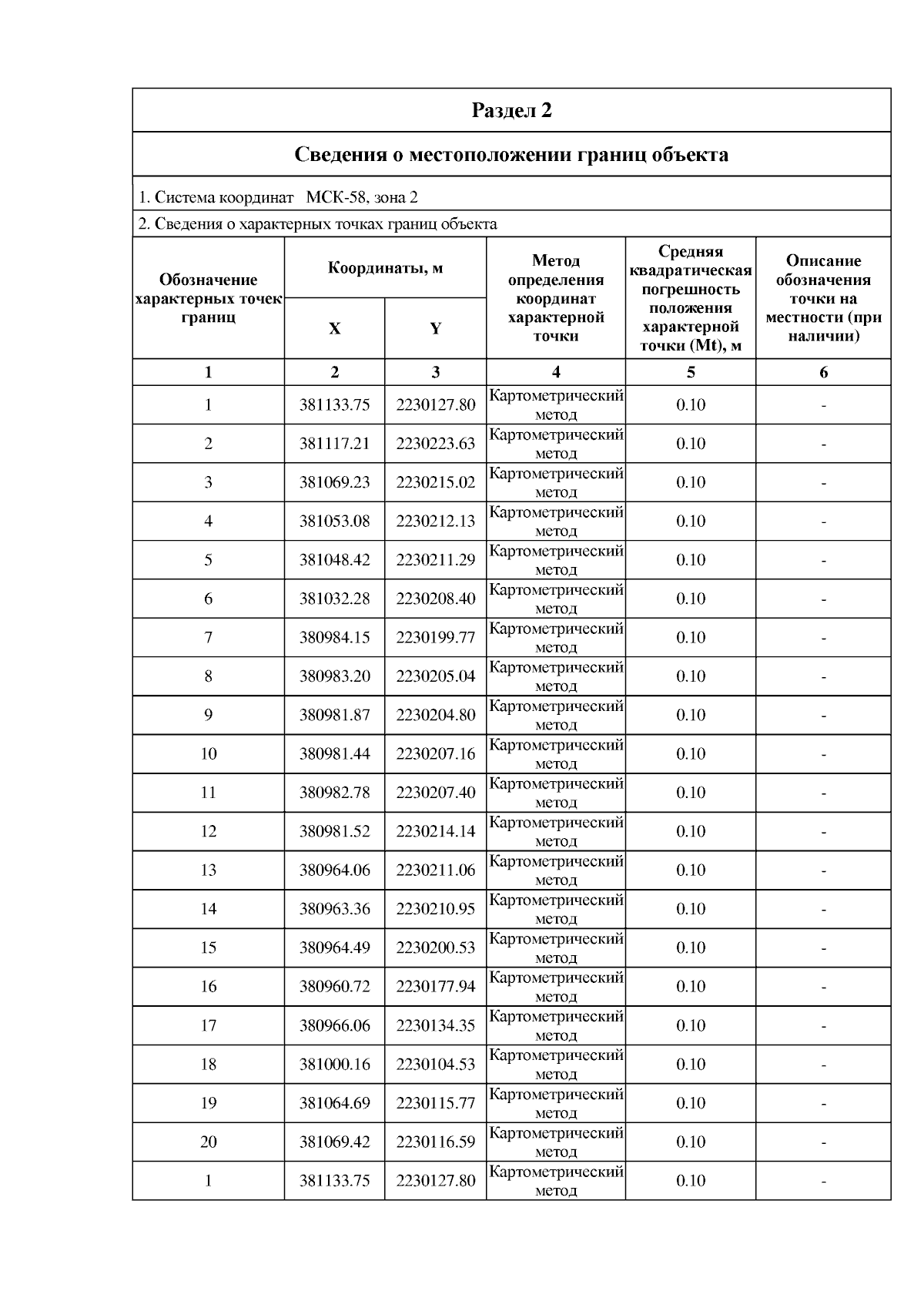
Приказ Министерства по охране памятников истории и культуры Пензенской области от 28.02.2025 № 30-40
"Об установлении зон охраны объекта культурного наследия федерального значения "Здание I-й мужской гимназии, в которой в 1855-1863 гг. работал учителем Ульянов Илья Николаевич" (Пензенская область, г. Пенза, ул. Красная, д.54) и утверждении требований к градостроительным регламентам в границах территории данных зон"
(Зарегистрирован 28.02.2025 № 30-40)
Номер опубликования: 5801202503030005
Дата опубликования: 03.03.2025
Страница №14 из 29:
Увеличить