Официальное опубликование правовых актов
ОФИЦИАЛЬНОЕ ОПУБЛИКОВАНИЕ
Приказ Министерства градостроительства и архитектуры Пензенской области от 20.02.2025 № 23-40
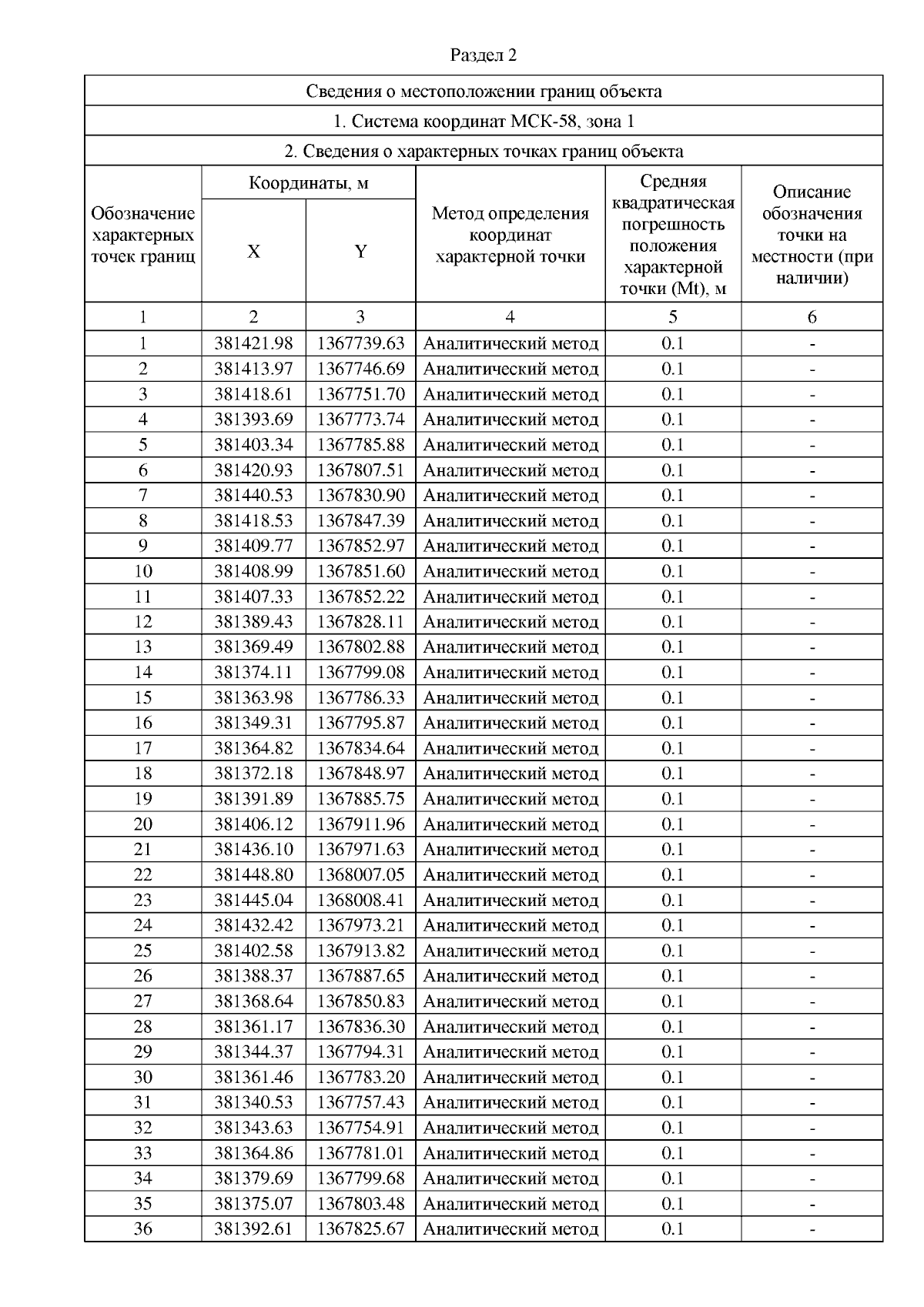
"Об утверждении границ охранной зоны существующего газопровода низкого давления, протяженностью 708 м, расположенного по адресу: Пензенская область, Каменский район, г. Каменка, ул. Советская, д. 2, 4, 6, 8, 10, 12, 14, 16, 18, ул. Маловского 2-19, и наложении ограничений (обременений) на входящие в нее земельные участки"
(Зарегистрирован 20.02.2025 № 23-40)
Номер опубликования: 5801202502250005
Дата опубликования: 25.02.2025
Страница №5 из 7:
Увеличить