Официальное опубликование правовых актов
ОФИЦИАЛЬНОЕ ОПУБЛИКОВАНИЕ
Приказ Министерства градостроительства и архитектуры Пензенской области от 19.02.2025 № 23-36
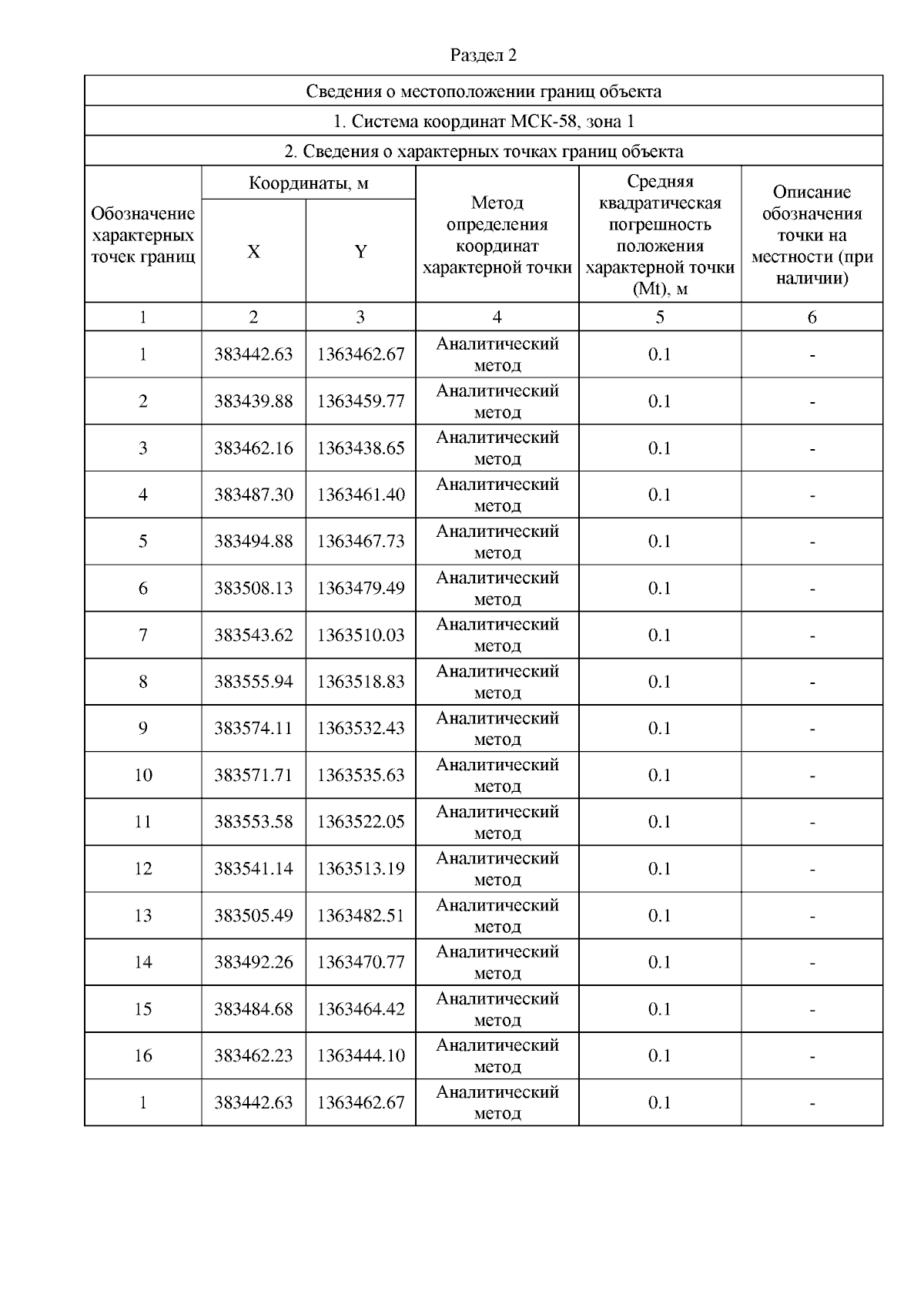
"Об утверждении границ охранной зоны существующего газопровода низкого давления, протяженностью 222 м, расположенного по адресу: Пензенская область, Каменский район г. Каменка от ГРПШ №5 по ул. Победы 2-16, и наложении ограничений (обременений) на входящие в нее земельные участки"
(Зарегистрирован 19.02.2025 № 23-36)
Номер опубликования: 5801202502240007
Дата опубликования: 24.02.2025
Страница №5 из 6:
Увеличить