Официальное опубликование правовых актов
ОФИЦИАЛЬНОЕ ОПУБЛИКОВАНИЕ
Приказ Министерства градостроительства и архитектуры Пензенской области от 10.02.2025 № 23-18
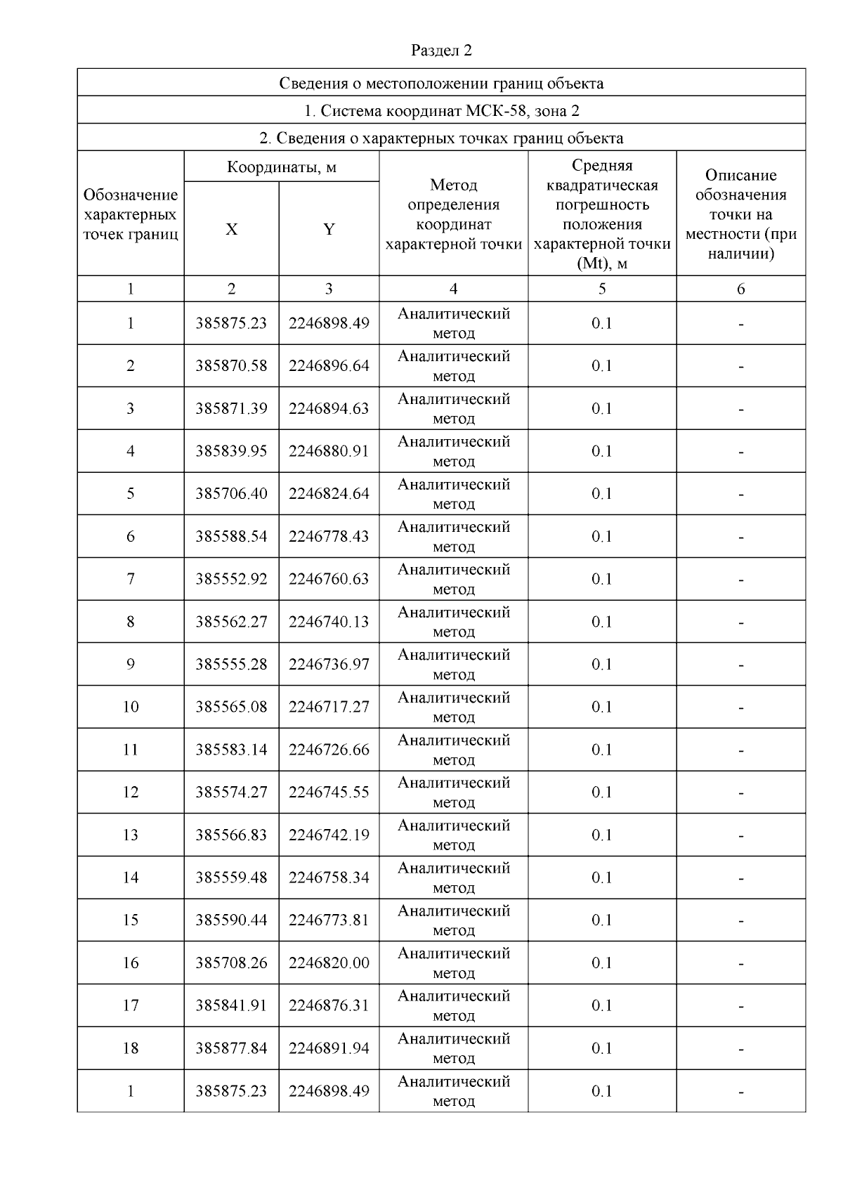
"Об утверждении границ охранной зоны существующего газопровода высокого и низкого давления, протяженностью 387 м, расположенного по адресу: Пензенская область, Бессоновский район, с. Чемодановка, ул. 2-я Школьная, и наложении ограничений (обременений) на входящие в нее земельные участки"
(Зарегистрирован 10.02.2025 № 23-18)
Номер опубликования: 5801202502110026
Дата опубликования: 11.02.2025
Страница №5 из 6:
Увеличить