Официальное опубликование правовых актов
ОФИЦИАЛЬНОЕ ОПУБЛИКОВАНИЕ
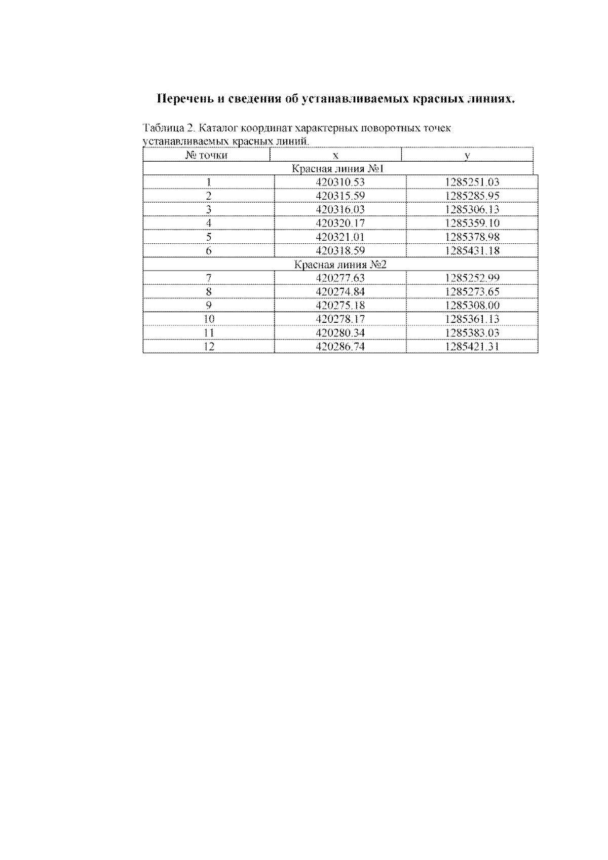
Приказ Министерства градостроительства и архитектуры Пензенской области от 17.12.2024 № 23-560
"Реконструкция моста через реку Ижмора на км 56+150 автомобильной дороги с. Кувак-Никольское – с. Вадинск – р.п. Земетчино в Земетчинском районе Пензенской области"
(Зарегистрирован 17.12.2024 № 23-560)
Номер опубликования: 5801202412240026
Дата опубликования: 24.12.2024
Страница №26 из 46:
Увеличить